What are the five points you need to make a box plot?
Minimum, Q1, Median, Q3, and Maximum
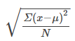
Is the equation for standard deviation of a sample or population?

Population!
When do we use a Histogram instead of a bar graph?
When the dataset is LARGE
What's the mode of the following data?
43
The scores of this class on the test next week
How many dogs does Mrs. Grant have?
one
Q3-Q1
Which data set is more spread out, given the standard deviation?
A: 4.2
B: 2.4
C: 1.4
D: 5.1
D: 5.1
What are the outliers of the dataset? (Without calculating)

56, 61, 75
What's is the symbol for a population mean?
mu
What is Mrs. Grant's dog's name?
River
Find the Q1 and Q3 of the data set:
5,6,6,7,7,8,9,10,11,11,11,12,13,14,15,16,16,18
Q1 = 7
Q3 = 14
Find the value that is 2 standard deviations from the mean, given the following:
\overline x = 4.3
STDEV = 2.1
8.5 and 0.1
How many people have between 25 and 29 apples?

14
What's the median of the following data?

32
Who's rule is this?

Chebyshev's Rule
Mrs. Grant attended this University for her undergraduate degree.
Boston College
DOUBLE JEOPARDY
Find the IQR
How is it skewed, if the mean is 32?

IQR = 44-23 = 21
Skewed Left
Two swimmers, Angie and Beth, from different teams, wanted to find out who had the fastest time for the 50 meter freestyle when compared to her team. Which swimmer had the fastest time when compared to her team?

Angie was faster compared to her team
How wide should our bars be if we used this data to make a histogram, and make 8 bars?
60; 60.5; 61; 61; 61.5, 63.5; 63.5; 63.5, 64; 64; 64; 64; 64; 64; 64; 64.5; 64.5; 64.5; 64.5; 64.5; 64.5; 64.5; 64.5, 66; 66; 66; 66; 66; 66; 66; 66; 66; 66; 66.5; 66.5; 66.5; 66.5; 66.5; 66.5; 66.5; 66.5; 66.5; 66.5; 66.5; 67; 67; 67; 67; 67; 67; 67; 67; 67; 67; 67; 67; 67.5; 67.5; 67.5; 67.5; 67.5; 67.5; 67.5, 68; 68; 69; 69; 69; 69; 69; 69; 69; 69; 69; 69; 69.5; 69.5; 69.5; 69.5; 69.5, 70; 70; 70; 70; 70; 70; 70.5; 70.5; 70.5; 71; 71;71, 72; 72; 72; 72.5; 72.5; 73; 73.5, 74
2! (Round up to 2)
\frac{74.05-59.95}{8}= 1.76
Make a Stem and Leaf Plot of the following dataset:
1.1; 1.5; 2.3; 2.5; 2.7; 3.2; 3.3; 3.3; 3.5; 3.8; 4.0; 4.2; 4.5; 4.5; 4.7; 4.8; 5.5; 5.6; 6.5; 6.7; 12.3

Find the measures of center of the dataset:
20,20,21,21,22,23,23,25,26,26,26,28
Mode: 26
Median: 23
Mean: 23.4
Name one country (other than United States) that Mrs. Grant has visited.
Ireland, France, UK, Mexico, Canada, Norway, Denmark
Make a box plot for the following dataset:
Twenty-five randomly selected students were asked the number of movies they watched the previous week. The results are as follows:
The median is also Q1

Find the standard deviation of the following sample:
45,54,76,88,92
STDEV = 20.7
The following data are the shoe sizes of 50 male students. The sizes are discrete data since shoe size is measured in whole and half units only. Construct a histogram and calculate the width of each bar or class interval. Suppose you choose six bars.
9; 9; 9.5; 9.5; 10; 10; 10; 10; 10; 10; 10.5; 10.5; 10.5; 10.5; 10.5; 10.5; 10.5; 10.5
11; 11; 11; 11; 11; 11; 11; 11; 11; 11; 11; 11; 11; 11.5; 11.5; 11.5; 11.5; 11.5; 11.5; 11.5
12; 12; 12; 12; 12; 12; 12; 12.5; 12.5; 12.5; 12.5; 14

Make a back-to-back Stem and Leaf Plot to show the ages of the President when they were inaugurated, and when they died


Find the outliers of the dataset:
6,10,11,14,17,19,22,25,25,26,38,45,60
60 is an outlier
26-14 = 12
12*1.5=25
14-12=2
26+25=51
What year did Mrs. Grant graduate high school?
1998