2,350 div 10^3 =?
2,350 div 10^3=2.35
Find the mistake in the student's work below.

The student forgot to place the decimal point in the quotient after dividing.
RANDOM:
What was the score of the Super Bowl last night?
49ers- 22
Chiefs- 25
Solve:
2 div 0.04 =?
2 div 0.04 = 50
RANDOM:
Which U.S. state has a population that is greater than all of Canada's population?
California
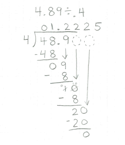
Find the mistake in the student's work below.

The student forgot to out a place holder in the tens place in the quotient.
A box of 1,000 pencils weighs 950 grams. How much does each pencil weigh?
Each pencil weighs .95 grams.
Solve:
4.32 div1.2=?
4.32 div 1.2=3.6
Write an equation to represent the model below.

0.8 div 2=0.4
OR
0.8 div 0.4 = 2
Find the mistake in the student's work below.

The student switched the dividend and the divisor.
Alex spent $4.68 on soup. If each can of soup cost $0.78, how many cans of soup did she buy?
Alex bought 6 cans of soup.
RANDOM:
What is the only animal that cannot jump?
Elephants
29.4 div ? = 0.294
29.4 div 10^2=0.294
OR
29.4 div 100=0.294
RANDOM:
What percent of the Earth's population lives in the Northern Hemisphere?
a) 60%
b) 70%
c) 80%
d) 90%
90% of the Earth's population lives in the Northern Hemisphere.
Joel can run 13.7 miles in a 1.25 hours. How far can he run in 1 hour?
Joel can run 10.96 miles in 1 hour.
Solve:
148 div1.6=?
148 div 1.6=92.5
Create a model to represent the expression below.
1.72 div 0.43
1.72 div 0.43=4

OR

Find the mistake in the student's work below.

When dividing 4 by 4 in the first step, the student wrote 0 when they should have written 1. Then, the student divided 48 by 4 and wrote 12 in the dividend. This caused the student to get a quotient that was 10 times smaller than the correct answer.
Marcie ran 3 miles in 28.62 minutes. Valerie ran 5 miles in 49.2 minutes. Who ran a faster mile?
Marcie ran a faster mile.
Marcie averaged 9.54 minutes a mile, which is faster than Valerie, who averaged 9.84 minutes a mile.
Solve:
54.8 div 0.64 = ?
54.8 div 0.64 = 85.625