When drug causes an increase in the number of enzyme molecules
Barbiturates, polycyclic aromatic hydrocarbons and examples of this
inducers
This drug inhibitis dihydrofolate reductase
Methotrexate
Inverse agonists stabilize the () form of the receptor
inactive
True or False: Vomiting is the first line of treatment when dealing with a poisoning.
FALSE
Imatinib is a targeted therapy used in leukemias and GIST. What class of cancer therapy does imatinib fall into?
Tyrosine Kinase Inhibitors
A drug that can be reversed with Naloxone (Narcan)
Opioid (morphine, heroin, fentanyl)
This phase of clinical trials employs healthy volunteers to determine the safety of the drug
Phase 1 clinical trial
It is not possible to achieve a steady state concentration for drugs with this type of clearance
Double Jeopardy: Name an example
Zero Order clearance
Bonus Points: Ethanol
These drugs work by forming a platinum-DNA adduct that impairs DNA replication leading to cell cycle arrest. Name the two drugs from this category
Carboplatin and Cisplatin
A maximal biological response is still achieved without full occupancy of a drug in its target
commonly seen in hormones and neurotransmitters,
receptor reserve/spare receptor
A high dose of O2 or a hyperbaric chamber is used to treat this poisoning
CO
These two hormone modulators are antagonists that inhibits binding to the androgen receptor and are commonly used in the treatment of metastatic prostate cancer
Flutamide and Enzalutamide
Antidote for Cyanide Poisioning
hydroxocobalamin (Vit B12)
This is an inhibitor of
CYP 34A
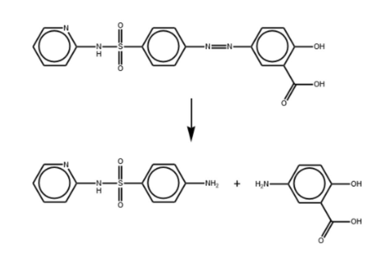
What Reaction is shown here?
Azo Reduction
cyclophosamide is used in invasive breast cancers, leukemia multiple myeloma and ovarian cancer and works by this mechanism of action
inter and intra strand binding of purine bases leading to DNA damage and Apoptosis
(alkylators)
Non competitive agonists have what effect of E50 and Maximal Response
E50-no effect
Maximal Response-diminished
This medication is used to treat acetaminophen overdose.
Double Jeopardy: Name the drug and the time frame it must be given in
N-acetylcysteine
Within 36 hrs of injestion
These two drugs work by generating DNA strand breaks by interfering with Topo 2
Doxorubicin, Etoposide
This herbal supplement is used to treat opiod withdrawals and pain. Its adverse effects are seizures, psychosis and addiction
Kratom

This Baddie is on a med for ADHD that does not have any refills allowed. Name the drug category (classification) according to the controlled substance act
Bonus Points to anyone who can identify the max daily supply for these type of meds
Schedule II
90 day max supply
(which actually isnt always true... some practices only give you 30 day supplies, my neuropsych dr only does 28 day supplies)
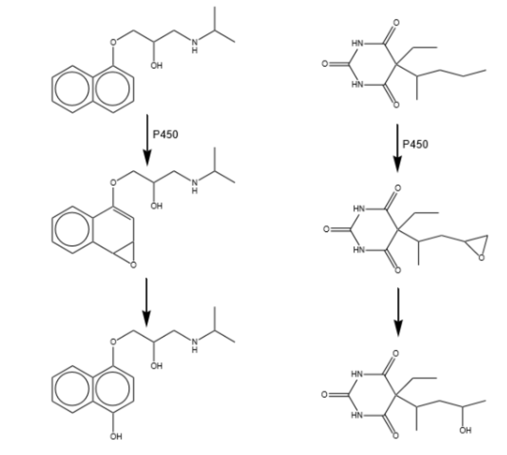
What two reactions are shown here?
N-Dealkylation
O dealkylation
Both Vincristine and Paclitaxel cause what kind of toxic/adverse side effect
Bonus Points: What class of drugs are these
Peripheral Neuropathy
Microtubule Binding drugs
Reduced drug effectiveness and tolerance is mediated through this process.
Hint: seen on beta adrenergic receptors
Down regulation of beta adrenergic receptors through internalization and degradation by lysosomes
Neuological Symptoms such as visual losses, ataxia, hearing loss, decreased cognition are symptoms of this type of poisioning. This is treated by
Partial credit, name the poisioning
Chelation therapy with dimercaprol, penicillamine, succimer
Mercury Poisoning
This CTLA-4 antagonist is used in the treatment of melanoma, renal cell, colorectal, hepatocellular and esophageal cancers. It can cause these side effects (name 3)
Immune mediated dermatitis colitis, enterocolitis, fatigue, diarrhea, rash, itching, musculoskeletal pain, embryo-fetal toxicity
Drug-Ipilimumab
This herbal supplement is an inducer of CYP3A4 and used to help treat depression. name one other med that is contraindicated when taking this supplement
Possible Answers:
OCPs, Digoxin, Warfarin, Cyclosporine
Herbal Supplement: Saint John's Wort
Primaquine, nitrofurantoin, naphthalene and fava beans are contraindicated in patients with this condition
G6PD deficiency
This isozyme of CYP is the most likely to have drug interactions. It also metabolizes the largest percentage of drugs in CYP450
CYP3A4/5
This antibody therapy causes cardiotoxicity, pulmonary toxicity, embryofetal toxicity and infusion reactions. What receptor does this medication bind to?
Binds to HER2
Med: Trastuzumab

The red curve represents the addition the addition of a particular drug in cholinergic receptors. Name this drug.
Atropine
anticholinergic i.e acetylcholine antagonist

Exposure to large amounts of this leads to this condition.
TCDD
Lenalidomide
Name Mechanism of Action and two side effect
Immunomodulator that binds to CRBN E3 ubiquitin-ligase
Side effects: Rash, myelosuppression, fatigue, embryofetal toxicity, risk of myocrardial infarction and stroke
This drug is an inhibitor of Vitamin K dependent reactions.
What are the two genotypes to consider when dosing this medication?
VKORC1 and CYP2C9
This condition results in prolonged paralysis after anesthesia
Name the drug and the condition
Double jeopardyyyyy
Pseudocholinesterase Deficiency
Drug: Succinylcholine