The change in the order of two numbers while adding and multiplying doesn't affect the sum or product is called?
Commutative Property
Explain the step or property that was used to get from Line 1 to Line 2.
Line 1: -7x + 22 = 50
Line 2: -7x = 28
Additive Inverse (Subtracted 22 on both sides)
Solve for the variable:
50 + r = 20
R = -30
Solve for e:
sqrt (e) = 23
E = 529
Solve for w.
wc - h = g
While adding or multiplying numbers, the way in which numbers are grouped by parentheses, does not affect their sum or product is called?
Associative Property
Explain the step that was taken from Line 1 to Line 2.
Line 1: 5x = 37
Line 2: x = 7.4
Multiplicative Inverse (divided 5 on both sides)
Solve the inequality for w:
2w - 32 > 54
W > 43
Solve for b:
sqrt (v-9) + 6 = 56
V = 2509
Solve for x:
-3x + 2c = -3
x = -3 - 2c / -3
What is it called when you multiply each term in the parentheses by the number on the outside of the parentheses to eliminate the parentheses?
Distributive Property
Explain the step that was taken from Line 1 to Line 2:
Line 1: 6(x + 4) = 60
Line 2: 6x + 24 = 60
Distributive Property
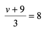
Solve for the variable v:

V = 15
Solve for w:
w2 + 3 = 52
w = (-7, 7)
Write the expression.
There are 12 packets of chips in a big pack. I buy "n" big packs of crisps. How many packets of chips have I bought?
chips = 12n
Is the opposite of the number. Any number plus its inverse equals 0.
Ex. a + (-a) = 0
Ex. -5 + 5 = 0
Additive Inverse
Explain the step that was taken from Line 1 to Line 2.
Line 1: 7x + 5x + 8 = 28
Line 2: 12x + 8 = 28
Combined like terms
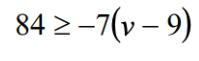
Solve the inequality for v:

-3 is less than or equal to v
-3 le v
Solve for X:
abs (-4 +5x) = 16
x = {4, -2.4 (-12/5)}
The Rock Zoo nurses 37 species of big cats. Recently, a few species of big cats were sponsored to other zoos around the country. The zoo now nurses only 25 species. How many species of big cats were sponsored to other zoos?
Write an equation to represent the problem to help answer the question.
Equation: 37 - c = 25 or 25 + c =37
Is the reciprocal of the number. Any nonzero number multiplied by its reciprocal equals 1.
Ex. a x 1/a = 1
Ex. 1/a x a = 1
Multiplicative Inverse
5x + 3(x+4) = 28
Distribute the 3, Combine like terms, additive inverse (subtract the 12 from both sides), multiplicative inverse (divide the 8 on both sides to get x by itself)
Solve for the variable k:
4k -2(3 - 4k) = 66
k = 6
Solve for h:

h = (6, -6)
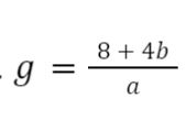
Solve for a:

a = 8 + 4b / g