Draw the graph of a quadratic function.
Determine whether the following are equivalent:
x+x+x and 3x^3
no
in the following equation, what does the number 3 represent?
y=3(4)^x
Starting value
Simplify

x^2
What galaxy is Earth part of?
Milky Way
What family is this from?
y=|x-2|+3
Absolute value
Write an equivalent expression for:
x^-3
1/x^3
The following equation represents the population of moths. What is happening to the population?
y=100(0.5)^x
Decreasing by half.
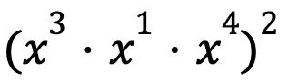
Simplify

x^8
How many stars are in our solar system?
1
What is the name for this family of function?

Write an equivalent expression for:
(2x-4)(x+3)
2x^2+2x-12
Write an equation that represents the table

y=2(3)^x
Simplify
(x^3y^4)/(xy^2)
x^2y^2
What is the chemical symbol for water?
h20
What are the coordinates for the locator point?

(3,1)
Write the expression as a product:
4x^2-36
(2x-6)(2x+6)
The following equation represents populations butterflies every year., what is the population in year 3. (drawing a table will help)
y=200(0.5)^x
25 butterflies
Simplify

k^2/m^2
Robert Downey Jr.
Using the equation, determine the locator point (vertex).
y=2|x-3|+5
(3,5)
Write the expression as a sum:
(4k-5y)(4k+5y)
16k^2-25y^2
The equation represents growth of bacteria every minute. After how many minutes will there be 256 bacteria?
y=2(4)^x
5 minutes
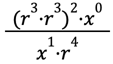
Simplify

r^8/x
What animated movie is about a culinary rat who aspires to be a chef?
Ratatouille