x^3*x^7
x^10
3x4 * 6x2 = 9x6
Determine whether this is linear or exponential. Explain
Linear. The y-values increase by 2
What is the range:

(0, ∞ )
x^5/x^10
1/x^5
3x0=1
only x0=1, so the answer is 3 * 1 = 3
Determine whether the function is linear or exponential

Exponential. The y-values are multiplied by 5.
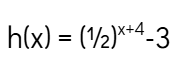
Describe the transformation from the parent function

left 4, down 3
5c^-8
5/c^8
x^-5/x^3= x^8
the x-5 has to go to the bottom of the fraction
1/x^8

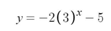
Is this exponential growth or decay?
Growth
Describe the transformation from the parent function

Reflect over the x-axis, vertical stretch by 2, right 6
(2x^2y^-2z^-4)^3
(8x^6)/(y^6z^12)
(10x^7)/(5x^4)=5x^3
you have to divide 10/5 = 2x3
y=2(1/4)^x-7
Growth or decay?
Decay
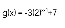
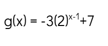
Describe the transformation of the parent function

reflect over the x-axis, vertical stretch by 3, right 1, up 7
((28m^3p^2)/(4mp))^2
49m^4p^2
(3x^5)^2=6x^10
You have to do
3^2=9
9x^10
When x>0, is the function increasing, decreasing, or staying the same?

Increasing
What is the horizontal asymptote of the graph?

7