-1/2(x + 14) = 20
-26
Solve the equations.
14-3g=32
g=-6
Solve the equation.
6(x-1)=12
x= 3
Solve the inequalities. 1≥x-9
10≥x
Solve the inequalities. 2y+7>11
y>2
-4.8x + 10 = -19.6
x = 2
Solve the equations.
w/4 -21=-3
w=9
Solve the equations.
5+2(x-2)=19
x=10
Solve the inequalities. 5+m+8≥14
m≥1
Solve the inequalities. 11-4z<-1
z>3
When working with an inequality, what causes our alarm to go off? What does that mean we need to do?
If we multiply or divide by a negative number, then we need to flip the inequality sign.
2(3x - 5) = 6x + 1
No Solution
Solve the equations. -5(3n+5)=20
n= -3
Solve the inequalities. a/2 < -9
a<-18
Solve the inequalities. 3+b/3<7
b<12

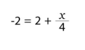
x = -16
Solve the equations.
d/15 +26=33
d=105
Solve the equations. 42=18t+4(t+5)
t=1
Solve the inequalities. d/-11 ≤6
d≥-66
Solve the inequalities. x/-3 -8≥-3
x≤-15

m= 0.5
Write the verbal sentence as an equation and solve. Five minus the product of 2 and a number is 7.
5-2x=7
x=-1
What is the solution of the equation:
-3(2x-1)=-21
4
-2 ≤ 2x - 6 ≤ 12
x ≥ 2 and x ≤ 9
What is the solution of the inequality z/-4+3<15?
z>-48