The fractional/decimal value of
tan(theta)

What is 8/15 or 0.53?
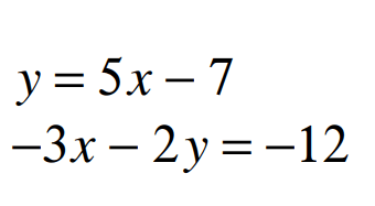
The solution for the linear systems, 

What is (6,4)?
P is the incenter of triangle FGH.

What is 7?
The shape formed by the equation,
y=2x-3
The volume of the rectangular prism shown

What is 210 cm^3?
The value of x (rounded to the tenth).
What is 9.9?
The value of x.
What is 2?
The value of x

What is 6?
The equation for the circle shown in its most simplified form:

What is
(x-2)^2+y^2=4
The surface area of the prism shown:

What is 790 units ^2?
The length of AC (rounded to the tenth):
What is 14?
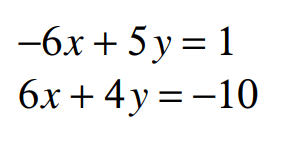
The intersection of the lines shown below:

What is (-1, -1)?
D is the circumcenter of triangle ABC. Find DE (answer as a simplified radical).

What is 5 root 3?
The location of the focus, given the equation for the directrix is y=1 and the vertex is located at (2,3)
What is (2,5)?
The volume of the pyramid shown

What is 8 mi^3?
The value of x (to the nearest whole degree)

What is 44 degrees?
Find one point where these equations intersect.

What is (-2, -2) OR (6, -2)?
P is the incenter of triangle STU (answer as a simplified radical)

What is root 5?
A parabola has a focus of (−5,4) and a directrix of y=0.This is the vertex form.

What is
y=1/8(x+5)^2+2
Cone A cone has a radius of 3 cm and a height of 6 cm. Cone B has every dimension tripled. The volume of Cone B is this many times larger than A.
What is 27?
The length of BC (to the nearest tenth)
What is 45?
Name ONE point where this line and parabola intersect.
What are (-4,-13) OR (-7, -22)?
The value of x.
What is 4 root 6?
The equation of the circle whose diameter has points A(2, 4) and B(6, 8).
What is
(x−4)^2+(y−6)^2=8?
A sphere has a radius of 4 cm. A new sphere has a radius of 8 cm. The surface area of sphere one is 200.96 cm^2. This is the surface area of sphere 2.
What is 803.84 cm^2?