
What is (f+g)(1)
-7
what is (f-g)(4)
83
What is (fg)(1)
12
What is (f/g)(2)
0

What is g(f(2))
-1
Let f(x)=-3x+2 and g(x)=5-x. Then f(x)+g(x) equals what?
-4x + 7
Let f(x)=4x-1 and g(x)=2x2+3. Then (g-f)(x) equals what?
2x2 - 4x + 4
Let f(x)=3x+5 and g(x)=x. Then (fg)(x) equals what?
What is 3x2 + 5x
Let f(x)=3x2+5x and g(x)=x. Then (f/g)(x) equals what?
3x+5
Let f(x)=3x2+2 and g(x)=2x. Then f(g(2)) equals
50
Let f(x)=3x+5 and g(x)=x2. Then f(x)+g(x) equals what?
x2 + 3x + 5
Let f(x)=-3x+2 and g(x)=-2x2+9. Then f(x)-g(x) equals what?
2x2 - 3x - 7
Let f(x)=2x2 and g(x)=3x3. Then (fg)(x) equals what?
6x5
Let f(x)=2x2 and g(x)=3x3. Then (g/f)(x) equals what?
(3/2)x
Let f(x)=3x2+2 and g(x)=2x. Then g(f(2)) equals
48
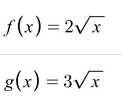
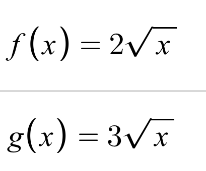
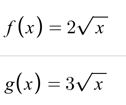
what is (f+g)(x)
5(sqrt(x))
what is (f-g)(x)
-1(sqrtx)
What is (fg)(x)
X
what is (f/g)(x)
X8/3
Let f(x)=√x and g(x)=2x+4. Then f(g(6))
4
what is (f+g)(5)
115

What is (f-g)(3)
53

What is (fg)(2)
12
what is (f/g)(8)
256
Let f(x)=√x and g(x)=3x2+4. Then f(g(-2))
4