Is this set of coordinate points a function? Why?
(1,2), (2,4), (3,6), (4,8), (5,10)
Yes, each input has a different output.
You pay $11 per month for Disney Plus. What is the equation for your Disney Plus subscription?
y = 11x
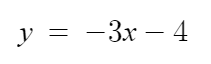
Find the rate of change for the equation...
y = -2x + 7
Rate of change is
-2
What is the Y-Intercept of the equation
y = -(4/2) x + 5
Y-Intercept is 5
Identify the LINEAR function below, then explain why...
(a.) 
(b.) 
(a.) is the linear function, because
-Has a slope
-It's in the form of y = mx + b
-Graph (b.) is not a linear graph
Is this set of coordinate points a function? Why or why not?
(0,2), (2,2), (4,2), (6,2), (8,2)
Yes, it's a function, even though different inputs have the same output.
You start off with $0 in your savings account in your bank, then you lose $5 per month. What is the equation for your bank situation?
y = -5x
Find the rate of change for this graph...

Rate of change is...
3
What is the initial value for this table...

Initial Value is y = 5
Which table is NOT a function, and why?
A. 
B. 
Graph B
-Inputs have multiple outputs.
Is this table a function? Why?
Yes, because none of the inputs have different outputs.
Luca was born 12 inches tall, and then he grows 3 inches per year. What is the equation for Luca's height growth?
y = 3x + 12
Find the rate of change for the table...

Rate of change is...
2
What is the initial value for this graph...

Initial Value is 0, or (0,0)
Write an equation to match the table...

y = 3x + 1
Is this table a function? Why or why not?

No, input 1 has multiple outputs.
What is the equation of this table?

y = 3x + 2
Which has a greater rate of change? Why?

Graph A has the greater rate of change because...
-Steeper
-Slope is higher
-Closer to vertical than graph B
What is the initial value of this linear function graph?

Initial Value is y = 7, or (0,7)
Jason works at a bike shop. He earns $12 each week plus $20 for every bike he sells. Write an equation to represent how much Jason earns each week.
y = 20x + 12
Is this graph a function? Why or why not?

No, because it doesn't pass the vertical line test.
What is the equation for this graph?

y = (2/3)x - 2
Which has a greater rate of change?
(a.) y = -(1/2)x + 4
(b.) y = 3x - 8
Graph (b.)
What is the initial value for this table?

Initial Value is y = 1, or (0,1)
Which table matches the equation y = -2x + 3?
A.
B.
C.
Graph B matches the equation