This word is used to describe the set of all inputs for a function.
What is the domain?
f(-3) if f(x) = 2x +1
What it -5 ?
The vertical intercept, or y-intercept of the graph.

(0, 4)
Find the DOMAIN:

-3<x<=1
A small bus charges $3.50 per person for a ride from the train station to a concert. The bus will only run if at least 3 people take it, and it cannot fit more than 10 people.
Function B gives the amount of money the bus operator earns when n people ride the bus.
Which of the following is a possible INPUT value for this function?
A. 1
B. 3
C. 6.5
D. 11
B. 3
This word is used to describe the set of all outputs of a function.
What is the range?
Let f(x) = x2 + x + 1; find f(-5).
What is 21?
What is the value of f(3)?

-1
Find RANGE:

y>=-1
A small bus charges $3.50 per person for a ride from the train station to a concert. The bus will only run if at least 3 people take it, and it cannot fit more than 10 people.
Function B gives the amount of money the bus operator earns when n people ride the bus.
Which of the following is not a possible OUTPUT value for this function?
A. $10.50
B. $21
C. $25
D. $35
C. $25
This word describes a relation that pairs each x value with only one y value.
What is a function?
Based on the graph of the function, what is f(4)?

f(4) = -2
If f(x) = 0, what are the possible values of x?
x = 2
x = 4
Find DOMAIN:

-1<=x<=4
The cost for an upcoming field trip is $30 per student. The cost of a field trip C, in dollars, is a function of the number of students, x.
Which of the following choices describes the possible INPUTS for this function?
A. All real numbers
B. All positive integers
C. All positive integers that are multiples of 30
D. All negative and positive integers
B. All positive integers
What visual test can be used to determine if a graph is a function?
What is the Vertical Line Test?
Find the x if f(x)=10
f(x) = 2x - 4
What is 7
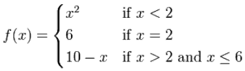
What is the value of f(3)?

7
Find the DOMAIN:
-5<=x<=8
The cost for an upcoming field trip is $30 per student. The cost of a field trip C, in dollars, is a function of the number of students, x.
Which of the following choices describes the possible OUTPUTS for this function?
A. All real numbers
B. All positive integers
C. All positive integers that are multiples of 30
D. All negative and positive integers
C. All positive integers that are multiples of 30
This word describes the point where the function crosses the y-axis.
What is a vertical intercept?
Find f(4) =

0
Here is the graph of one day's temperature as a function of time.
Find the average rate of change from 2:00 pm to 8:00 pm.

-2.5 degrees F per hour
Find the RANGE:
-3<=y<=2
A child tosses a baseball up into the air. On its way down, it gets caught in a tree for several seconds before falling back down to the ground.
Select the best description of the range of the function:
A. The range includes all real numbers from 5 to 12.5
B. The range includes all integers between 0 and 12.5
C. The range includes all real numbers between 0 to 8.5
D. The range includes all real numbers from 0 to 12.5

D. The range includes all real numbers from 0 to 12.5