Is It a Function?
Evaluating Functions
Graphing & Inverse Functions
Domain & Range
Random Trivia
100

Is this table a function?

YES

100

Given f(x)=5(2-x), evaluate the following. 

f(7) = 

f(-6) = 

f(7) = -25

f(-6) = 40

100

Find the inverse of the function below. 

f(x)=-1/3x+4

OR

f(x)=(x-12)/-3

100

Find the domain and range of the function. 

D: {-5, -4, 0, 2, 4}

R: {-16, -12, -4, 0, 9}

100

What color is Sonic the Hedgehog?

Blue

200

Is this table a function?

NO

200

Evaluate g(x) = x2 - 9x

g(-4) = 

g(2) = 

g(-4) = 52

g(2) = -14

200

Which graph does not have an inverse?

Bonus 200 points if you can tell me why. 

D. It does not pass the horizontal line test.

200

Find the domain and range of the function. 

D: {-4, 0, 2, 4, 8}

R: {-3, 1, 3, 5, 9}

200

What vegetable do pickles start out as.

Cucumbers

300

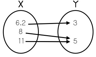
Give an example of an ordered pair that would cause this map to no longer be a function.

Any ordered pair with 6.2, 8, or 11 as the x value.

300

The graph for h(x) is shown below. Find h(5)

h(5) = 10

300

Find the domain and range of the function (USE DESMOS)

D: All Real Numbers

R: All Real Numbers

300

Find the domain and the range of the function. 

D: -4<=x<=8

R: -3<=y<=9

300

What date celebrates Star Wars day?

May 4th


"May the 4th be with you"

400

Which graph would not be a function?

Earn an extra 200 points if you tell me why it is not a function. 

a. because it does not pass the vertical line test.

400

A pool cleaning company determines its monthly profit from the function below. 

p(x) = 6.4x2-26x

If x represents the number of pools cleaned in a month, what will the monthly profit be if the company cleans 46 pools?

$12,246.40

400

Find the Domain and Range of the Function (USE DESMOS):

D: All Real Numbers

R: {2}

400

Determine the domain and range of the function.

D: All Real Numbers

R: y>=2

400

What is the closest living relative to the T-Rex?

A Chicken

500

The graph below is not a function. Give an ordered pair that could be removed to create a function. 

(-3,3) 

OR

(-3,-2)


500

Use the function f(x) = -x2-5 to determine if any of the following points are on the graph.

None are on the graph

500

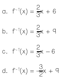
What is the inverse of the following function?

A. f^-1(x)=2/3x+6

500

Jeremy hit a golf ball from a bay at Golf Galore that is 15 yards above the ground. The graph shows the height of the golf ball as a function of x, the distance from the bay in yards. 

a. What is the domain?

b. What is the range?

c. What does the point (20,32) represent?

a. 0<=x<=40

b. 0<=y<=32

c. When the ball is 20 yards away from the bay, the ball is 32 yards in the air. 

500

What are the four presidents on Mount Rushmore?

George Washington, Abraham Lincoln, Thomas Jefferson, and Theodore Roosevelt.