What food makes up nearly 99% of a Giant Panda's diet?
Bamboo.

What is the chemical formula for water?
H2O
What country has a maple leaf on their national flag?
Canada.
![]()
Is "dog" a noun, verb, or adjective?
A noun
Solve for x:

x = 8
What color is Princess Tiana's dress?
Green
A 'doe' is what kind of animal?
A female deer.

What is the largest planet in our solar system?
a) Neptune
b) Saturn
c) Jupiter
c) Jupiter
![]()
At roughly 11 times the size of Earth, Jupiter is the largest planet in our solar system.
In what country are the Great Pyramids found?

Egypt.
Which of the following is an adverb?
A) Beautiful
B) Quietly
C) Fast
B) Quietly
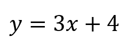
What is the slope of the line?
A) 3 B) 4

A) 3
What is the name of the fairy in Peter Pan?
Tinkerbell
True or False?
Crocodiles have no sweat glands so they use their mouths to release heat.
True. They often sleep with their mouth open to cool down.

BONUS: Are crocodiles warm-blooded or cold-blooded?
In which galaxy is our solar system contained in?

The Milky Way Galaxy.
What is Earth's LARGEST continent?
a) Africa
b) Europe
c) Asia
c) Asia
![]()
Currently, Asia is Earth's largest continent at approximately 44,806,812 sq km.
BONUS: What is the SECOND largest?
Which of the following is NOT a type of pronoun?
A) She
B) Them
C) Another
C. Another
According to the dot plot below, how many students have 1 brother?

Three (3)
What is the name of the crab in The Little Mermaid?
Sebastian
Which of the following is NOT a poisonous spider?
a) Brown Recluse
b) Black Widow
c) Daddy Long legs
C. Daddy Long Legs
Do trees release oxygen or carbon dioxide into the atmosphere?
Oxygen
What is the name of the tallest mountain in the world?
Mt. Everest
What is the correct punctuation mark to finish this sentence..."What time is it"
? Question Mark
Solve for x:

x = 6
Which movie uses the slogan "We scare because we care." ?
Monsters Inc.
What is the MAIN difference between turtles and tortoises?
A) Their shell
B) Where they live
C) What they eat
B) Where they live
The composition of the sun is mainly which element?
A) Copper
B) Iron
C) Hydrogen
Hydrogen
![]()
What is the flattest continent?
a) Australia
b) Europe
c) North America
a) Australia

Australia is one of the oldest continents, and because of the effects of 250 million years of erosion it has become the flattest land mass on earth.
BONUS: What are 3 animals that originate from Australia?
Who is the author of the Harry Potter series?
J.K. Rowling
Solve.

2 1/2
What does the phrase "Hakuna Matata" mean?
No worries
Frogs are classified as which of the following:
A) Mammals
B) Reptiles
C) Amphibians
C) Amphibians
Which element is found in all organic compounds?
A) Carbon
B) Helium
C) Mercury
Carbon
How many stripes are on an American flag?
13
Who is the author of The Cat in the Hat?
Dr. Seuss
Solve for x.

x = 10
What is the name of Mulan's pet dragon?
Mushu