Describe this transformation rule: (x, y) --> (x,-y)
reflection over the x-axis
Find q and p.
q = 14
p=14sqrt2
Find the value of x. Round to the nearest tenth.
x=20.8

Which method do you use to solve the following? How do you know?
Choices: Pythagorean Theorem, Regular Trig, Inverse Trig, and 45-45-90
Inverse trig- solving for an angle!
Solve this problem to find k.
k = 5
Find the value of x. (Round to the nearest tenth)
x = 13.4
Find the value of x.
x =
7sqrt2
Find the m<A. Round decimal answers to the nearest tenth.

m∠A = 53.1 degrees
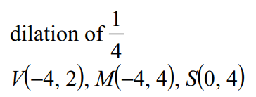
Find the coordinate points of the image

V'(-1, 0.5), M' (-1,1), S'(0,1)
The triangles are similar. Solve for the Missing Side.
3.4 yd
What is the rule for the given transformation.
Reflection across the y-axis (𝑥, 𝑦) → (−𝑥,𝑦)
Find the value of the legs

8sqrt2
Find <A

m<A=73.7 degrees
Find the value of x. Round to the nearest tenth.

x = 13.8
The triangles are similar. Solve for x.

x = 43.62
Find x.

x = 27
Find the value of x.
x = 3

Find x
x = 14.4
Find c and d.

c = 6sqrt2
d= 12
Find x

x = 11.2
The graph depicts a rigid transformation. What is the mapping rule? 
(x,y) --> (x + 1, y - 2)
1 unit right 2 units down
Find x.

x= (9sqrt2)/2
Find KL. Round decimal answers to the nearest tenth.

KL = 5.1
Find the value of q. Round your answers to the nearest tenth.

q = 14.9
The triangles are similar. Solve for DE.
15.7