Two lines that are the same distance apart and will never intersect
What are parallel lines
A polygon with 4 sides
What is a quadrilateral
If a segment has a bisector, this is the point where the bisector intersects the segment.
What is the midpoint?
The sum of the measures of two angles is 90 degrees. The relationship between the two angles is called this.
What is Complementary?
A polygon with 6 sides
What is a hexagon?
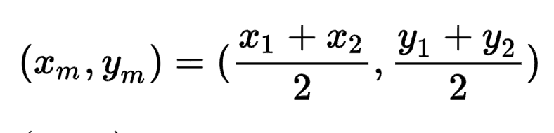
Midpoint formula
What is 
The sum of the measures of two angles is 180 degrees. This is the relationship between those two angles.
What is Supplementary?
an angle that is greater than 90 degrees and less than 180 degrees
What is obtuse
The area of a triangle with base = 10 units and
height = 12 units.
What is 60 square units?
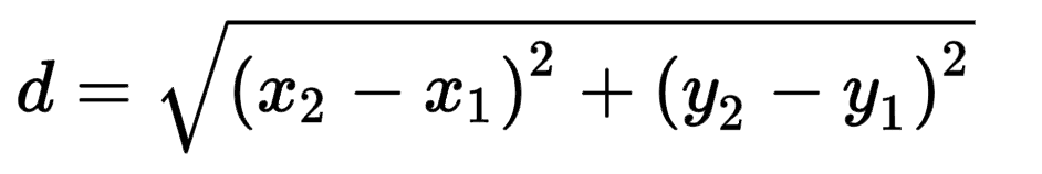
Distance Formula
What is 
The relationship between the two angles in this diagram:

What is Vertical Angles?
This is part of a line with two endpoints
What is a line segment
If an angle that measures 88 degrees is bisected, what is the measure of each of the resulting angles?
What is 44 degrees?
The perimeter of a square with side length = 5
What is 20 units?
This is the midpoint of the line segment with endpoints at
(-1, 6) and (5, 2).
What is (2, 4)?
The measure of the angle shown in this diagram:

What is 90 degrees?
Two rays that share an endpoint to form a line.
What are opposite rays?
The perimeter of a pentagon that has all equal sides with length 7 units.
What is 35 units?
This is the distance between the points
(0, 5) and (12, 0).
What is 13?
The specific relationship between angles DAC and CAB in this diagram:
What is Linear Pair?