What are the three characteristics of a line? & Draw line A on your board.
- Infinite amount of points
- Extends in two opposite directions
- Never ends

If AC = 26, BC = 7x+2, AB = 9x+8;
What is BC?
9
What is the angle addition postulate?
If D is in the interior of AngleABC then mAngleABD + mAngleDBC = mAngleABC
Find the midpoint of BH
E

Simplify.
x2-2x+10
When two segments are congruent; they have the same......?
LENGTH
If JK = 9x+3, KL = 5x+2 and JL = 75
What's KL?
27

60
Find Midpoint of A(-2, 1) & B(5, 4)
(1.5, 2.5)
Solve for X
x = -4
When two rays meet at a common endpoint, what is that called?
a VERTEX
What's AC?
38

What's ABC?
180
Find the midpoint of A(-2, 1) & B(5, 4) and label it C. Now find the midpoint of A & C and label it D.
D(-0.25, 1.75)
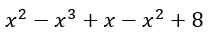
Simplify:
-x3+x+8
Using a pattern to make an intelligent guess is called...
INDUCTIVE REASONING
What's X?
13

What's DCE?
44
Find the distance of A(90, 0) & B(0, 80)
120.4 or SqRt(14,500)

Simplify:
18b5 -15b2 + 5
What does a midpoint do?
DIVIDES THE SEGMENT INTO TWO CONGRUENT SEGMENTS
What's MN?
32
What's the bottom angle?
124
FIND THE PERIMETER

or 17.19

Solve for X
x = -2