Points that lie on the same line.
What are collinear points?
The postulate that states if L, M, and N are collinear and M is between L and N, then LM + MN = LN.
What is the Segment Addition Postulate?
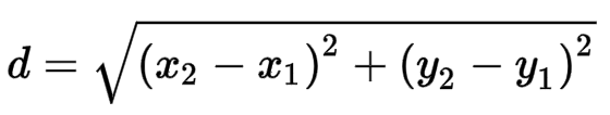
What is this formula called?

What is the Distance Formula?
Two angles whose measures add up to 180 degrees.
What are supplementary angles?
If ray BD bisects Angle ABC and mAngle DBC = 79 degrees, this is the measure of Angle ABC.
What is 158 degrees?
Two angles that are adjacent and supplementary.
What is a linear pair?
If K is the midpoint of segment JL and JK = 25, this is the length of JL.
What is 50?
Find the midpoint of segment AB if A(-3,8) and B(-7,-6).
What is (-5, 1)?
Two angles whose measures add up to 90 degrees.
What are complementary angles?
The postulate that states if W is in the interior of Angle TUV, then mAngle TUW + mAngle WUV = mAngle TUV.
What is the Angle Addition Postulate?
Points that lie on the same line.
What are coplanar points?
If RS = 23-2x, ST = 9x-5, and RT=39, this is the value of x.
What is 3?
The distance between X(-9,2) and Y(5,-4), rounded to the nearest hundredth.
What is 15.23?
Angle 1 and Angle 2 are vertical angles. If mAngle 1 = (6x+11) and mAngle 2 = (10x-9), find mAngle 1.
What is 41 degrees?
If ray QS bisects Angle PQR, mAngle PQS=(7x-6), and mAngle SQR=(4x+15), find the value of x.
What is 7?
The intersection of two planes, such as planes JPS and plane z.
What is a line?(or line JM)?
If line n bisects segment CE at point D, CD = x+6 and DE = 4x-21, find the length of CD.
What is 15?
If Q(4,3) is the midpoint of segment PR and P is (11,-2), these are the coordinates of R.
What is (-3, 8)?
Angle E and Angle F are supplementary. If mAngle E = (9x-38) and mAngle F = (2x+42), find mAngle F.
What is 74 degrees?
If mAngle TUV=(9x+1), mAngle TUW=(7x-9), and mAngle WUV=(5x-11), find the value of x.
What is 7?
Using the first diagram, a point that is non-coplanar to plane K.
What is point W (or point Y)?
If K is the midpoint of segment JL, JK=8x+11 and KL=14x-1, find the length of JL.
What is 54?
If segment RS has an endpoint at R(4, -6) and a midpoint at M(-1, 2), what are the coordinates of the other endpoint, S?
The coordinates of endpoint S are (-6, 10).?
The measure of Angle G is six more than twice the measure of Angle H. If Angle G and Angle H are complementary, find mAngle H.
What is 28 degrees?
mAngle GEF is 13 less than five times mAngle DEG. If mAngle DEF = 149 degrees, find mAngle GEF.
What is 122 degrees?