Solve the system using elimination or substituion.
-2x-9y=-25
-4x-9y=-23
(-1,3)
f(x)=-x^5+3x^3+1
What is the end behavior?

Solve the equation by factoring
x^2-42=-x
x=-7,6
Write the equation in standard form
2(x+2)^2+3
2x^2+8x+11
Classify The Polynomial
x^4+3x^2-7x^2+25x-7
Quartic Polynomial of 5 terms
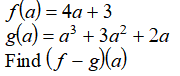
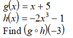
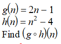
Perform the indicated operation


What are the zeros? What are the zeros multiplicities and the behavior of them?
(x-4)^3(x+2)^2
4 multiplicity of 3 which cross x-axis
-2 multiplicity of 2 which bounces on x-axis
Solve the equation by factoring
15x^2-47x+28
x=4/5, 7/3
Write the equation in vertex form
x^2+8x+18
f(x)=(x+4)^2+2
State the possible rational roots of the given function
3x^3+5x+7
+-(1,7,1/3,7/3)
Perform the indicated operation

58
Identify the zeros and state their multiplicities
x(x+3)^2(x-1)^3
x=0 mult 1
x=-3 mult 2
x=1 mult 3
Solve the equation
3x^2-11x=14
x=-1,14/3
A model rocket is launched from the roof of a bulding. Its flight path is modeled by the equation below. H is the height of the rocket above the ground in meters and t is the time in seconds after it is launched. What is the rockets maximum height?
h=-5t^2+30t+10
55 meters
Write the polynomial in standard form given the zeros
x=1+2i
x^2-2x+5
Perform the indicated operation

2n^2-9
Determine the end behavior of the polynomial
-x^7+3x
up/down
Solve the equation
-11x^2-10=8x
x=(-4+-iroot/94)/11
The height in feet of a bottle rocket is given by the equation below. How long will it take for the rocket to reach the ground?
h(t)=160t-16t^2
10 seconds
Write the polynomial in standard form given the zeros:
-1,-1, 2
x^3-3x-2
Determine the transformations and then write the domain and range
f(x)=-sqrt(x-3)+7
Domain: [3,inf)
Range: [7,inf)
Ref over x-axis, right 3 and up 7
Find the quotient
(6x^3+11x^2-31x)/(3x-2)
2x^2+5x-7+1/(3x-2)
Solve the equation
12x^2+4x=14
x=(-1+-root/43)/6
a model rocket is projected straight upward from the ground level according the height equation below. H is height in feet and t is time in seconds.
h(t)=-16t^2+96t
At what time does the rocket hit is maximum height? What is the max height?
3 seconds, 144 feet.
Write the polynomial in standard form given the zeros
0,0,0,-3
x^4+3x^3