The method to find the constant of proportionality
Answers Vary. Divide y with x
Starts at origin, Straight line, has a constant
Proportional or non-proportional
Proportional

The length of the radius.
What is 36?

Who is Tralalero Tralala?

The scale factor
What is 2?

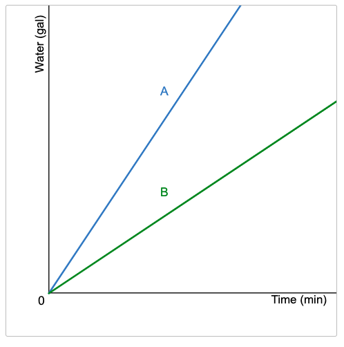
Which graph has a faster right
Line A
What does the k represent in y=kx
constant of proportionality
The diameter of a circle with a radius of 4.5 units
What is 9 units?
The kid who's bus is here
Who is Jayden?

The scale factor from L to S
What is 1/2?

Explain why or why not this is proportional
It is because it starts at the origin, is a straight line, and has a constant.

What does the 2.5 represent
the constant of prop

A line segment that is a radius. (You need only two letters to identify a segment)
What is HE, HD, HA, or HG?
The group number that is the cool group
Group 7

The height of Britam Tower if each square is 50m
What is 200m
Explain why or why not this graph is proportional.
Not, it is curved

Explain why or why not this is proportional
No because we are adding 32

Explain why or why not, a sphere is a circle.
10 words or less
Not, a sphere is 3D / circle is 2D

What this red larva says
What is "Oi Oi Oi"

The scale factor from A to B
What is 1.5?

Explain why or why not this is proportional. 5 words or less
No, theres no constant
Write the equation for this table

y=7x
Explain why or why not this is a circle?10 words or less
No. radius is half/diameter is doubled
Where this fully conscious baby want to go
What is 4 seasons Orlando?