What is the degree of the following function?
6x^7+3x^8-2x^2
8
What is the equation of the vertical asymptote for:

x = -3
Given a function f(x) = 5x, describe the transformation if g(x) = f(x + 1) - 3
Shift left 1, down 3 units
On what open intervals is k(x) both increasing and concave down? 
(-6,-3)
Name all the social studies/history teachers at Carver
Multiple
When you mix these 2 paint colors, they form purple
Blue and red
The third term in the expansion of the function f(x)=(2x+3)4
What is 96x3?
What is the end behavior of the following function?
(4x^3+2x^2-7)/(5x^3+6)

Shift left 3 and up 1
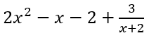
Divide (2x3 + 3x2 - 4x + 1) by (x + 2)

Dr. Bernier's first name.
Anderson
This basketball player, whose height is 6'7", helped popularize the phrase, 6-7
LaMelo Ball
Use the limit definition to state the end behavior of the polynomial functions.
f(X)= -8x^7+3x^2+5

Find the horizontal asymptote of
(x^3+x^2-9)/(x^5-3x^2-5x)
y = 0
Let
f(x)=x^2+4x+1.
Write an equation of the following functions that are transformations of f(x).
g(x)=3f(x)-7
3x^2+12x-4
The table gives values of a function f for selected values of x. Is the function linear or quadratic? Justify your choice?

f(x) is quadratic; f(x) has a constant second difference over equal-length input value intervals OR the rates of change are changing at a constant rate.
This teacher was at Carver since the school was started.
Multiple Answers
This song by Kendrick Lamar dominated charts this year and even had a Super Bowl appearance featuring Serena Williams
"Not Like Us"
Where is the relative maximum of the function? (Calc. okay)
h(x)=2x^3-4x
(-0.816, 2.177)
Find the zeros of the function.
(4-x^2)/(x-2)
-2

Selected values of the continuous function g(x) are shown in the table above. Use the values in the table to answer the following. Let
h(x)=-2g(x-3)-5.
Find h(0).
h(0) = 3

No solution
This teacher attended Princeton University
Dr. Belizaire
This scientist was famous for his work with peanuts
George Washington Carver
Given the zero 4 − 𝑖, find all other zeros of the polynomial function
f(x)=x^4-8x^3+16x^2+8x-17
−1, 1, 4 − 𝑖, 4 + i
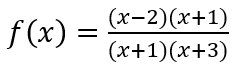
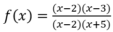
Find the zeros, vertical asymptote and holes if any.

zero x = 8 (8, 0)
VA x = 0, x = 1
Hole x = -2

Selected values of the continuous function h(x) are shown in the table above. Use the values in the table to answer the following. Let
h(x)=6f(x+2)-3
Find f(4).
f(4) = 0
Write a rational function with a hole at x = 2, a zero at 3, and a vertical asymptote at x = -5.
Sample correct answer:

This person was the first principal of Carver.
Dr. Janice Sutton
This person was 44th president of the United States before Trump.
President Barack Obama