What is the SI unit for momentum?
Define impulse
Impulse is the product of force and the time period over which it acts.
What does the impulse-momentum theorem state?
The impulse acting on an object is equal to the change in momentum of the object.
Describe an elastic collision.
An elastic collision is where both momentum and kinetic energy are conserved.
Crumple zones increase the time it takes for momentum to change thereby reducing the force experienced during the collision. Less force means less injury.
Calculate the momentum of a 500 kg motorcycle that is traveling at 20 m/s.
A force of 25 N is applied for 3 seconds. What is the impulse?
A 2,000 kg car experiences a 10,000 Ns impulse. What is its change in velocity?
5 m/s
Two identical balls collide elastically. If one is stationary and the other moves at 5 m/s, what are their velocities after the collision?
The moving ball stops, and the stationary ball moves at 5 m/s.
How does conservation of mommentum apply to rocket launches?
Rockets expel gas downwards, and by conservation of momentum, the rocket moves upward
Calculate the velocity of an 80,000 kg jetliner with a momentum of 640,000 kg*m/s
Velocity = 640,000 kg*m/s / 80,000 kg = 8 m/s
How long must a force of 10,000 N be applied to generate an impulse of 500,000 N*s?
Time = 50 seconds
How can you decrease the momentum by changing the impulse?
Impulse changes momentum by applying a force over a time interval, resulting in a change in velocity. If you want to decrease momentum, you either need to decrease the force or increase the amount of time.
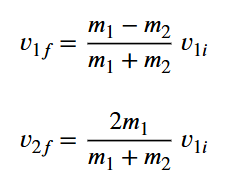
Ball 1 is 2 kg and moving at 3 m/s. Ball 2 is 3 kg and at rest. They collide elastically. What is the final velocity of Ball 1?

-0.6 m/s
How do boxing gloves reduce the impact of a hit?
Boxing gloves are padded to increase contact time, therefore reducing force
A wheelbarrow's mass is halved. If its intial momentum was 137 kg*m/s, what is its new momentum if velocity remains constant?
1/2 * 137 kg*m/s = 68.5 kg*m/s
If an airbag applies an impulse of 150 N*s in 0.02 seconds, what force does it exert?
5,000 N
A 2,000 kg SUV moving at 15 m/s needs to stop in 6 seconds. What force is required?
5000 N
Ball 1 is 2 kg and moving at 3 m/s. Ball 2 is 3 kg and at rest. They collide elastically. What is the final velocity of Ball 2?

2 m/s
Slowing the velocity (speed) before a final, sudden impact reduces the force that the plane will land on the ground with thereby lowering the momentum.