Energy
Chemistry
Ecosystems
Pathology
Water and Evolution
100

How is geothermal energy classified?

A. as a nonrenewable resource, because geothermal power plants produce greenhouse gases

B. as a nonrenewable resource, because geothermal energy can be depleted

C. as a renewable resource, because geothermal power plants do not produce greenhouse gases

D. as a renewable resource, because geothermal energy cannot be depleted.

D. as a renewable resource, because geothermal energy cannot be depleted.

100

Wendy draws this model to represent a neutral beryllium (Be) atom.



Wendy's teacher says there is an error in her model. What is the error?

A. The model has too many protons.

B. The model has too many electrons.

C. The model shows protons in the wrong location.

D. The model shows electrons in the wrong location. 

B. The model has too many electrons.

100

Which choice describes a biotic factor in an ecosystem?Radio button to select the answer below

A. The temperature in the ecosystem stays about 70 almost year-round.

B. There is an average of 80 inches of rainfall per year in the ecosystem.

C. The prevailing winds in the ecosystem are from the southwest.

D. Plants provide shelter for insects living in the ecosystem. 

D. Plants provide shelter for insects living in the ecosystem.

100

How are viruses similar to parasites?

A. Viruses and parasites cause diseases that cannot be prevented or treated.

B. Viruses and parasites cause diseases that can be treated with fungicides.

C. Viruses and parasites are multicellular organisms.

D. Viruses and parasites require a host organism. 

D. Viruses and parasites require a host organism.

100

How do plants contribute to the water cycle?

A. Plants absorb water vapor and then release water into the soil by the process of evaoporation.

B. Plants absorb water vapor and then release water into the soil by the process of transpiration.

C. Plants absorb groundwater and then release water into the atmosphere by the process of evaporation.

D. Plants absorb groundwater and then release water into the atmosphere by the process of transpiration.

D. Plants absorb groundwater and then release water into the atmosphere by the process of transpiration.

200

BONUS!

FREE POINTS

200 POINTS!

200

A student pours a cloudy liquid through a thin piece of paper and into a beaker. The student observes the collected liquid is not cloudy. How should the student classify the original cloudy liquid?

A. as a mixture, because the cloudy liquid was separated by evaporation

B. as a mixture, because the cloudy liquid was separated by filtration

C. as a compound because the cloudy liquid was separated by evaporation

D. as a compound, because the cloudy liquid was separated by filtration. 

B. as a mixture, because the cloudy liquid was separated by filtration

200

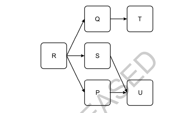
The food web below represents the interactions of organisms P through U.

Select (click) two food sources for organism U.

A. organism P

B. organism Q

C. organism R

D. organism S

E. organism T 

A. organism P

D. organism S  

200

Which situation is most likely to prevent a viral epidemic from becoming a pandemic?

A. warm weather conditions

B. cold weather conditions

C. consistent public use of antibiotics

D. consistent public use of vaccines 

D. consistent public use of vaccines

200

What happens to water at the ocean's surface as it moves from the equator toward the Arctic Ocean?

A. The water cools, causing its density to decrease.

B. The water cools, causing its density to increase.

C. The water cools, causing its humidity to decrease.

D. The water cools, causing its humidity to increase.

B. The water cools, causing its density to increase.

300

A person has recently started riding a bike to work instead of driving a gasoline-powered car. How will this action affect the availability of fossil fuels?

A. This person is conserving a renewable resource, which will increase Earth's reserves of fossil fuels.

B. This person is conserving a nonrenewable resource, which will increase Earth's reserves of fossil fuels.

C. This person is conserving a renewable resource, which will increase the rate at which this resource is depleted.

D. This person is conserving a nonrenewable resource, which will decrease the rate at which this resource is depleted . 

D. This person is conserving a nonrenewable resource, which will decrease the rate at which this resource is depleted .

300

A scientist experiments on a piece of solid copper.

  • The scientist heats the copper piece and observes the copper's density decreases as its temperature increases.

  • The scientist continues to heat the copper until it melts.

How are the decrease in density and the melting similar?

A. They are both physical changes, because the composition of the copper piece remains the same.

B. They are both chemical changes, because the composition of the copper piece remains the same.

C. They are both physical changes, because the new substance has different chemical properties than copper.

D. They are both chemical changes, because the new substance has different chemical properties than copper. 

A. They are both physical changes, because the composition of the copper piece remains the same.

300

Residents in a neighborhood complain that there are too many snakes in the neighborhood. A pest-control company says it can eliminate the snakes from the neighborhood. The food chain below shows how snakes participate in this ecosystem.

Plants -->  beetle -->  snake --> hawk

How would eliminating snakes affect this ecosystem?

A. The beetle and hawk populations would decrease.

B. The beetle and hawk populations would increase.

C. The beetle population would increase, and the hawk population would decrease.

D. The beetle population would decrease, and the hawk population would increase. 

C. The beetle population would increase, and the hawk population would decrease.

300

An infection causes serious illness in one of four people who contract it. Scientists do not recognize the pathogen and have no way to treat it. Smaller than a cell, the pathogen is spread through air. It forces a cell to create many copies of the original pathogen and destroys the cell in the process. What is the cause of this disease, and what could scientists do to protect public health?

A. The cause is a virus, and scientists could work on creating a vaccine to prevent the spread of the disease.

B. The cause is a parasite, and scientists could work on a toxin to kill it.

C. The cause is a virus, and scientists could work on creating an antibiotic to kill it.

D. The cause is a fungus, and scientists could work on an antifungal treatment. 

A. The cause is a virus, and scientists could work on creating a vaccine to prevent the spread of the disease.




300

The list below describes the characteristics of the forelimbs of an American toad and a bottlenose dolphin.

  • Each of the toad's forelimbs has four fingers. The toad uses its forelimbs to grasp objects and walk.

  • The dolphin's forelimbs are flippers with no fingers. The dolphin uses its flippers to change direction as it moves through water.

  • Both the toad's and dolphin's forelimbs contain bones that have many structural similarities.

Which conclusion does this information best support?

A. Random chance led to the development of two animals with different body structures.

B. These animals evolved separately form their own unique ancestors and do not share a common ancestor.

C. These animals share a common ancestor, and natural selection produced two animals that use their forelimbs for different purposes.

D. The toad's ancestors chose to be well-adapted to grasping, while the dolphin's ancestors chose to be well-adapted to moving through water. 

C. These animals share a common ancestor, and natural selection produced two animals that use their forelimbs for different purposes.

400

A community uses a hydroelectric dam to generate electricity. The dam's reservoir also flows into a water treatment plant to make the water suitable for human consumption. Suppose a drought were to occur in this community. What benefit would there be in conserving the water people use in their homes?

A. Conserving water would increase the sustainability of the reservoir, decreasing the amount of time the hydroelectric dam could be used as a source of electricity.

B. Conserving water would increase the sustainability of the reservoir, increasing the amount of time the hydroelectric dam could be used as a source of electricity.

C. Conserving water would decrease the sustainability of the reservoir, decreasing the amount of time the hydroelectric dam could be used as a source of electricity.

D. Conserving water would decrease the sustainability of the reservoir, increasing the amount of time the hydroelectric dam could be used as a source of electricity. 

B. Conserving water would increase the sustainability of the reservoir, increasing the amount of time the hydroelectric dam could be used as a source of electricity.

400

Methane is a pure substance and exists as a gas at room temperature. Each methane molecule is made up of one carbon atom chemically bonded to four hydrogen atoms. How is methane classified?

A. as an element

B. as a compound

C. as a homogeneous mixture

D. as a heterogeneous mixture 

B. as a compound

400

The diagram below shows a food web for a forest ecosystem.

A scientist introduces a population of wolves into this ecosystem. The wolves have been observed to only prey on deer. What effect would the introduction of solves have on this ecosystem?


A. There would be fewer resources available for the squirrel and rabbit populations.

B. There would be more resources available for the squirrel and rabbit populations.

C. The hawk population would likely decrease because the hawks and wolves have a mutualistic relationship.

D. The hawk population would likely decrease because the hawks and wolves have a competitive relationship. 

B. There would be more resources available for the squirrel and rabbit populations.

400

BONUS!

FREE POINTS

400 POINTS!

400

Paula discovered three sedimentary rock layers that contain fossils of a lizard species. The list below shows how Paula described the lizard's appearance in each layer.

  • Top layer: The lizards had thick tails that were about 1 inch thick.

  • Middle layer: The lizards had round tails that were about 2 inches in length.

  • Bottom layer: the lizards had flexible tails that were about 3 inches in length.

Which conclusions do Paula's findings best support?

A. Lizards with short tails hunted the other types into extinction.

B. Lizards with long tails lived in the area for a longer period of time.

C. Lizards in the area gradually developed longer tails.

D. Lizards in the area gradually developed shorter tails. 

D. Lizards in the area gradually developed shorter tails.

500

Scientists used atmospheric temperature data from 1901 to 2000 and determined that the average global temperature, over both land and ocean, in the month of April was 13.7C. To measure changes in climate, scientists compare a year's average April temperature to 13.7C. The graph below is a collection of these measurements from 1960 to 2023. In the graph, a positive temperature measurement indicates that April of that year was warmer than 13.7C. A negative measurement indicates is was colder than 13.7C.


Which choice is the best interpretation of the graph?


A. The graph shows a trend: Earth's atmosphere has experienced a period of overall cooling since 1960.

B. The graph shows a trend: Earth's atmosphere has experienced a period of overall warming since 1960.

C. The graph does not show a trend. Sometimes temperatures increased, but other times the temperature decreased.

D. The graph does not show a trend. A 1C change in temperature would not have any meaningful effect on Earth systems. 

B. The graph shows a trend: Earth's atmosphere has experienced a period of overall warming since 1960.

500

Terry is learning about chemical reactions in science class. Terry's teacher draws this equation on the chalkboard, and explains that the equation uses a triangle, a circle, and a square as symbols to represent elements. Each symbol represents a different element.


Terry claims the equation demonstrated the law of conservation of mass. What evidence supports Terry's claim?

A. The same symbols appear in the reactants and products.

B. The equation shows this reaction produced new substances.

C. There are equal numbers of each symbol in the reactants and products.

D. The arrangement of the symbols in the reactants is the same as their arrangement in the products. 

C. There are equal numbers of each symbol in the reactants and products.

500

The diagram below shows a food web.

Identify the roles of the zebra, giraffe, and lion using producer, primary consumer, and secondary consumer.

zebra: primary consumer

giraffe: primary consumer

lion: secondary consumer

500

The list below describes two different diseases.

  • Disease 1 causes facial swelling and nasal congestion. It is transmitted when an animal breathes in spores released from decaying organic matter in the environment. The pathogen that causes this disease is eukaryotic, multicellular, and can reproduce sexually and asexually.

  • Disease 2 causes itchy bumps on an animal's skin. It is transmitted to animals through physical contact. The pathogen that causes this disease is a nonliving particle and requires a host cell to reproduce.

Classify the pathogen that causes each disease.

Disease 1 pathogen: fungus

Disease 2 pathogen: virus

500

Jonathan lives in a town near an estuary. The estuary is a part of the Windy River basin. The table below shows average and 2018 monthly rainfall amounts from June to September for Jonathan's town.


Month     Precipitation in 2018     Average Precipitation

June                     4.8                            4.3

July                      5.3                            4.7

August                  5.0                            4.3

September            5.1                            4.1


Select (click) two claims supported by this scenario.

A. Water flows from streams and tributaries in the Windy River basin into the estuary.

B. Water flows from the estuary into the Windy River basin streams and tributaries.

C. Precipitation in 2018 was higher than average, so the estuary will be less salty than in years with normal precipitation.

D. Precipitation in 2018 was lower than average, so the estuary will be more salty than in years with normal precipitation.

E. Precipitation in 2018 was about the same as in previous years, so the salinity of the estuary would be the same as in any other year. 

A. Water flows from streams and tributaries in the Windy River basin into the estuary. 

C. Precipitation in 2018 was higher than average, so the estuary will be less salty than in years with normal precipitation.