What is the inverse of j(x)?

What is
j-1(x)=
What is the test called that determine if a function is in fact a function?
Vertical line test, repeating y-values
What is the notation for the inverse of g(x)?
What is 
What is the inverse transformation of "Vertical Reflection"?
Horizontal Reflection
Name the 3 reference points for a square root function.
(0,0)
(1,1)
(4,2)
Find g-1(x) given:

What is 
f(x) =3(x-9)
g(x) =(1/3x) + 9
What is Yes
The graph of a function that passes through the point (-3,4). What point must lie on the graph of the function's inverse?
What is (4,-3)
What is the inverse transformation of "Vertical Compression bafo 1/2"?
Horizontal Compression bafo 1/2
Name 4 reference points for a Cubed root function.
(-1,-1)
(0,0)
(1,1)
(8,1)
f(x) =x2 +4
What is
f^-1(x) = pmsqrt (x-4)

No
How do the domain and range of the original function relate to the domain and range of its inverse?
Domain and range from original become the domain and range of the new function
What are the inverse transformation of "Horizontal reflection and compression bafo 1/2"?
Vertical reflection
Vertical compression bafo 1/2
Write any cubed root function that has a domain of (-inf,inf)
Literally any cubed root function
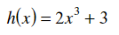
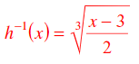
Find h-1(x)
What is:
What is the test called when something is called a 1-to-1 function?
Find the x-intercept of Mr. Graham's function
1/2√ (x-4)-3
(40,0)
What are the inverse transformation(s) of
Horizontal shift right 4
Vertical stretch bafo 2
Vertical Reflection
Vertical shift down 7
Vertical shift up 4
Horizontal stretch bafo 2
Horizontal Reflection
Horizontal shift left 7
Write a square root function that has the:
domain: [-2,inf)
range: [4,inf)
Something that has a positive 'a' and 'b' but h=2 and k=4
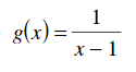
Find g-1(x)

f(x) = 2x+2 g(x)=2x-2
No
Find the y-intercept of Mr. Graham's function
2∛ (x-8)+5
(0,1)
What are the inverse transformation(s) of "f(x)=2(x-3)3-5"?
Horizontal Stretch bafo 2
Vertical shift up 3
Horizontal shift left 5
How do you find a domain restriction?
x>=h