What is the inverse of (2x+3)/4
What is 2x-(3/2)
f(x) = (x-5)/10
h(x)=10x+5
What is Yes
What is the notation for inverse function?
What is 
Given g(x)=2x2+7
Find g(3)
What is 25
Write the inverse table to the function below.


What is the inverse of 3x+1
What is (x-1)/3
f(x) =3(x-9)
g(x) =(1/3x) + 9
What is Yes
The graph of a function that passes through the point (-3,4). What point must lie on the graph of the function's inverse?
What is (4,-3)
Simplify 
What is 2x +1
What is the inverse to 
f-1(x) = x2/ 3
The inverse of g(x)=(8-5x)/4
What is (4x-8)/5

No
name the process shown here

Restricting the domain
Name a college you would like to visit this year.
Congrats, the group that selected this gets two points added to their quiz!
Give a restriction of the domain so the function is invertible.

What is x≥7 or x≤7
g(x) = 1/2(x-6)
What is 2x+6
g(x) = (8+9x)/2
f(x)=(5x-9)/2
What is No
When given the domain and range of a function but not the actual function, what information do I know about my inverse function?
What is the domain and range of my inverse function by interchanging x & y
Solve
(5x) (4x3)
What is 20x4
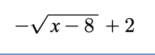
Find the inverse to f(x) = (x-2)2+8 where x≤2
What is 
f(x) =x2 +4
What is sq rt(x-4)
f(x) = 2x+2 g(x)=2x-2
No
![]()
Name two intervals of increase.
(-17, -6) , (4,9), (13, infinity)
Solve for x. 9x = 243
What is 2.5
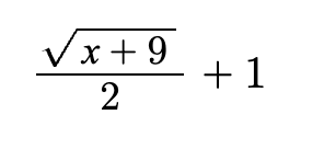
Find the inverse of f(x)=(2x-2)2-9 where x ≥1
What is