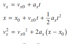
Write the 3 kinematic equations from the formula sheet!

What two things are constant during the flight of any projectile?
gravity and Vx
What is the displacement after 15 seconds? 
30.0 m
How long would it take a ball fired horizontally at 30m/s to hit the ground from a height of 3m?
0.78 s
A NFL D-lineman accelerates, from rest, for 1.5 seconds at a rate of 5m/s2. How far has the player moved in this time period?
5.625 m
If a bullet is fired upward and a second is dropped which bullet hits the ground first?
The dropped one.
What type of acceleration is the object experiencing? 
Deceleration or slowing down
What angle will give a projectile max range?
45 degrees
3 cars are in a 300 m drag race.
Car A has an initial velocity of 12 m/s and has no acceleration. Car B has an initial velocity of 5 m/s and an acceleration of 0.5 m/s2. Car C moves with no initial velocity at a rate of 1 m/s2.
Which car wins the race?
Car C.
How much speed is an object gaining per second when falling?
9.8 m/s
What is the direction of the acceleration at point D?
Down
A ball is fired upward with a speed of 12 m/s at an angle of 30 degrees above the horizontal. What is this object's max height?
1.84 m
A rock is dropped straight downward. What is it's velocity after falling for 3 seconds?
29.4 m/s
What is the velocity equal to for a projectile at it's max height?
Equal to the initial horizontal velocity

Which graph represents the motion of a horizontally launched projectile?
1

What is the height h?
1.75 m
Two sumo wrestlers are running towards each other. One moves with an acceleration of 0.5 m/s2 starting from rest. The second moves at a rate of 0.75 m/s2 from rest. If they were 5 meters apart at the start how long will it take them to collide?
2.83 s
For a ground to ground projectile how fast will it be moving right before it hits the ground?
As fast as the initial velocity of the projectile.
Draw a position, Vy, and acceleration versus time graphs for a ground to ground projectile launched upward.
Graphs
What is the height of the basketball goal?
3.4 m