
In the figure above, line l is parallel to line m. What is the value of x?
What is 35?
If 125% of x is 80 and x is n % of 400, what is the value of n ?
What is 16?
If (x+6)/3=(x+6)/13, the value of x+6 is between which of the following pairs of values?
A. -7 and -3
B. -2 and 2
C. 2 and 7
D. 8 and 13
What is B: -2 and 2?
The expression (3x-23)(19x+6) is equivalent to the expression ax^2+bx+c, where a, b, and c are constants. What is the value of b?
What is -419?

A. The team will have moved all the cargo in about 4.8 hours.
B. The team has been moving about 4.8 tons of cargo per hour.
C. The team has been moving about 25 tons of cargo per hour.
D. The team started with 120 tons of cargo to move.
What is A: The team will have moved all the cargo in about 4.8 hours?

In the figure above, AB=6, BC=8, and CD=5. What is the length of AD?
A. 4sqrt3
B. 5sqrt2
C. 5sqrt3
D. 6sqrt2
What is C: 5sqrt3 ?

The table shows test scores on a math test, and the corresponding number of students who earned that score. What is the median test score of the entire class?
What is 89?
(3x^2)^2=36 where x>0.
What is the value of xsqrt(x^2)?
A. 2
B. 2sqrt2
C. 4
D. 4sqrt2
What is A: 2?
2(kx-n)=-28/15x-36/19
In the given equation, k and n are constants and n>1. The equation has no solution. What is the value of k?
What is -14/15?
Johnny received m text messages on Friday, three less than twice as many text messages on Saturday than on Friday, and five more text messages on Sunday than on Saturday. What is the total number of text messages he received over the three days?
A. 4m+2
B. 5m-1
C. 4m-2
D. 5m+1
What is B: 5m-1?

In the figure above, the radius of the circle is 8 and and the measure of angle AOB is 120 degrees. What is the length of AB?
A. 8sqrt2
B. 8sqrt3
C. 12sqrt2
D. 12sqrt3
What is B: 8sqrt3?

The dotplot above gives the gas mileage (in miles per gallon) of 15 different cars. If the dot representing the car with the greatest gas mileage is removed from the dotplot, what will happen to the mean, median, and standard deviation of the new data set?
A. Only the mean will decrease.
B. Only the mean and standard deviation will decrease.
C. Only the mean and median will decrease.
D. The mean, median, and standard deviation will decrease.
What is B: Only the mean and standard deviation will decrease?
y<ax+1
y>bx-1
In the xy- plane, if (1,0) is a solution to the system of inequalities above, which of the following must be true?
I. a> -1
II. a+b=0
III. b<1
A. I only
B. I and II only
C. I and III only
D. I, II, and III
What is C: I and III only?
(12x^2+mx+23)/(2x+1)=6x-18+(41)/(2x+1)
In the equation above, m is a constant and x does not equal -1/2. What is the value of m?
A. -42
B. -36
C. -30
D. 42
What is C: -30?
What is the mass, in grams, of an object with a volume of 0.01 m^3 and a density of 4.54 grams per cubic centimeters? (1 m = 100 cm)
A. 454
B. 4,540
C. 45,400
D. 454,000
What is C: 45,400?
What is the perimeter of an equilateral triangle inscribed in a circle with circumference 24pi?
A. 36sqrt2
B. 36sqrt3
C. 30sqrt3
D. 24sqrt6
What is B: 36sqrt3?
Adrian bought a flat screen TV for $350. He had a coupon for $60 off, but was taxed an additional 4%. What is the net percent decrease of the TV after both the discount and the tax is applied? (Round to the nearest tenth of a percent)
What is 13.8%?
There are two system of equations shown below:
1. This one has no solutions.
y=2/3x+5
-6x+by=7
2. This one has infinitely many solutions.
10x-2y=1
ax-cy=3
What is the value of a+b+c?
What is 45?
If x-2 is a factor of polynomial p(x)=a(x^3-2x)+b(x^2-5), which of the following must be true?
A. a+b=0
B. 2a-b=0
C. 2a+b=0
D. 4a-b=0
What is D: 4a-b=0?
David used 1/10 of his monthly salary for groceries and 3/18 of his remaining money for his car payment. He also paid twice as much money for rent as for his car payment. If David has $1,620 left after paying for groceries, car payment, and rent, how much is his monthly salary?
A. $3,240
B. $3,320
C. $3,480
D. $3,600
What is D: $3600?
If the perimeter of a square is equal to 5x+1 and the length of the diagonal of the square is (2x-2)sqrt2, what is the length of a side of the square?
A. 2
B. 4
C. 8
D. 10
What is B: 4?

What is C: Median = 26, Mean = 32?

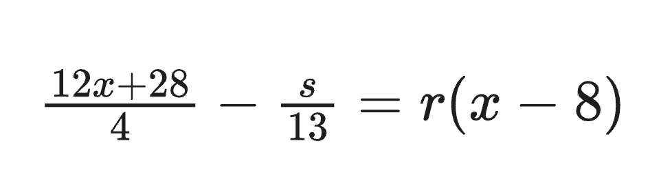
In the given equation, s and r are constants, and s>0. If the equation has infinitely many solutions, what is the value of s?
What is 403?
The expression bx^2-13x+22 can be rewritten as (hx-k)(x+j) where b is a constant and h, j, and k are integer constants. Which of the following must be an integer?
A. (k-13)/h
B. 13/b
C. -j/22
D. k/22
What is A: (k-13)/h ?
A person is born every 5 seconds and a person dies every 12 seconds. How many seconds does it take for the population to grow by one person?
A. 7 sec
B. 8 4/7 sec
C. 10.5 sec
D. 10 5/7 sec
What is B: 8 4/7?