The determinant of the matrix 
What is 29 ?
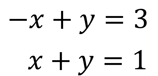
The solution to the system of equations is
What is
(-1,2)
The first five terms of
a_n=6n-3
What are 3, 9, 15, 21, 27 ?
The sum of the series
\sum_{i=1}^{5}(3i+1)
What is 50 ?
The sum of all integers from 51 to 71.
What is 1281 ?
The value of Dx for the system 
What is -15 ?
The determinant of the matrix 
What is 0 ?
The first five terms of the sequence
a_n=(-1)^{n-1}(4n)
What are 4, -8, 12, -16, 20 ?
The sum of the series
\sum_{i=1}^{5}1/(i+1)
What is
29/20 ?
The number of telephone poles in a stack that has 30 poles in the bottom row, 29 poles in the next row and so on.
What is 465 poles?
The value Dy for the system 
What is 11 ?
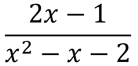
The partial fraction decomposition is
What is
1/(x-2) + 1/(x+1)
a_1
for the arithmetic sequence with
a_5=5 and a_8=17
What is -11 ?
The sum of the first 10 terms of the arithmetic sequence having
a_1=2 and d=5
What is 245?
The total number of ancestors a person has going back 10 generations. (Hint: a person has two parents, four grandparents, eight great-grandparents, etc.)
What is 2046 ancestors ?
The determinant of 
What is 16 ?
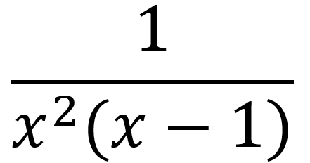
The partial fraction decomposition is
What is
-1/x - 1/x^2 + 1/(x-1)
a_3
for the geometric sequence with
a_1=-2 and r=-3
What is
a_3=-18
The sum of the terms
5+3+9/5+\cdots+243/625
What is
7448/625 ?
The total accumulated salary after 10 years with a starting salary of $30,000 with an annual raise of $2,500.
What is $412,500 ?
Using an augmented matrix, the solution of the system 
What is (1, 0, 2) ?
Using Cramer's Rule, the solution of the system 
What is (-2, 1) ?
a_n
for the geometric sequence with
a_1=-2 and r=-3
What is
a_n=-2(-3)^{n-1} ?
The infinite sum of
\sum_{k=1}^{oo} 3(2/3)^k
What is 6?
The number of years it takes for your accumulated earnings to reach $492,000 when you started with a $30,000 salary and received a $2000 annual raise.
What is 12 years ?