¿Qué es un manómetro?

Es un instrumento que permite la medición de presión en los fluidos. El más sencillo es el manómetro en U.

¿Bajo qué fórmulas se puede encontrar la presión manométrica?
1. Pmanométrica= ρ*g*h
2. 
Un estudiante quiere encontrar la presión absoluta de la superficie del agua, para ello con un barómetro lee 1.3152 bar, mientras que con el manómetro lee 0.3152 bar.¿Cuál es su presión absoluta?
RTA= 1.3152 bar+0.3152 bar=1.6304bar
¿Cuando se utiliza la ecuación p=peso especifico*h?
Es válida cuando el líquido se encuentra en reposo y está completamente homogéneo
¿Cuál es la fórmula de presión media?
P=F/A

Calcular la Presión Manométrica en un sistema si se tiene que la densidad del agua encontrada en dicho sistema corresponde a 1000 Kg/m3 y el Manómetro de tubo abierto, indica una diferencia de niveles de 0.54 m.
RESPUESTA= Pmanometrica = ρ*g*h
Pmanometrica = (1000 Kg/m3)*(9.81 m/s2)*(0.54 m)
Pmanometrica = 5297.40 Pa
La medición de la presión en un manómetro en U está en función de la _____________________
diferencia de altura entre las ramas del tubo U.
¿Cuál es la fórmula que aplica en el cambio de presión ?
p=peso especifico*h
El aire fluye por un ducto sometido a una succión de 4.0 cm H2O. El barómetro indica que la presión atmosférica es de 730 mm Hg. ¿Cuál es la presión absoluta del gas en pulgadas de mercurio?

La subida a través del tubo en U produce una ________________, mientras que la bajada de un fluido produce un _________________.
una caída en la presión. / aumento en la presión.

¿Cuál es la ecuación que relaciona los dos sistemas de medición con respecto a la presión?
Pabt =Patm+Pman

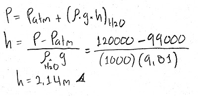
Un tubo de vidrio está conectado a un tubo de agua, como se muestra en la figura P1-115. Si la presión de agua en la parte inferior del tubo de vidrio es de 120 kPa, y la presión atmosférica es de 99 kPa, determine cuánto subirá el agua en el tubo de vidrio, en m. Tome la densidad del agua como 1.000 kg/m3.
