Hvad er a?
Hvad er hældningskoefficienten
Hvordan udregnes omsætning?
Hvad er pris * afsætning
Hvad er 5% af 400?
Hvad er 20
Formlen for arealet af en trekant
Hvad er 1/2 * g * h
Hvad betyder den midterste streg i et boksplot?

Hvad er medianen
Hvad er f(x) = ax2 + bx + c ?
Hvad er en andengradsfunktion
Hvad er "r" ?
Hvad er renten
Løs ligningen: x * 16 = 4
Hvad er x = 0,25 eller 1/4
Formlen for arealet af en cirkel
Hvad er pi * r2
Hvad betyder Q3?
Hvad er øvre kvartil / 3. kvartilsæt / 75%
Hvad er b i en eksponentiel funktion?
Hvad er skæringen i y-aksen
Hvad er kapitalfremskrivningsformlen?
Hvad er Kn = K0 * (1+r)n
Reducer udtrykket: (a+2b)2 - a(a+4b)
Hvad er 4b2
Hvad betyder pi?
Hvad er forholdet mellem omkredsen og diameteren i en cirkel
Hvad er dette?

Hvad er en sumkurve
Hvad betyder "Ekstremum"?
Hvad er toppunktet

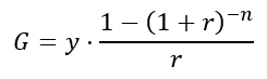
Hvad er gryn formlen
Forlæng/omskriv (a+b)2
Hvad er a2 + b2 + 2ab
Hvad er arealet?

Hvad er (a * 3b) - b2
Hvad viser billedet?

Hvad er normalfordelingen
Hvad er b2 - (4 * a * c) ?
Hvad er diskriminanten
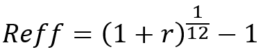
Hvad er den effektive rente formel?

Løs ligningen: x2 = 7
Hvad er
eller 
Hvilken figur er dette?

Hvad er et parallelogram
Hvordan udregnes spredningen?
Hvad er kvadratroden af variansen
