What is a, b, and c for the following equation:
-x2 - 4x + 3 = 0
a = -1, b = -4, c = 3
What day is Star Wars Day?
May 4th
Name 3 of the main characters from the show Riverdale.
Main characters: Archie Andrews, Betty Cooper, Veronica Lodge, Jughead Jones, Cheryl Blossom, Hermione Lodge, Josie McCoy, Alice Cooper.
After how many years Olympic Games are held?
Every 4 years.
How do you find the perimeter of a shape?
Add all the sides together!
What is the GCF for the following:
2x2 + 4x
2x
The speaker of "I Have a Dream" speech.
Martin Luther King, Jr.
In the movie To All the Boys I Loved Before, Lara Jean's life changes when _______________?
Her crushes each receive a love letter from her in the mail.
Name two animals associated with the Easter holiday.
Rabbits/Hares, Chicks, Lambs
4(6n+7) when n=6
172
What is the standard form of a quadratic equation?
ax2 + bx + c = 0
What is the name of the fable in which a boy sold a cow for beans?
Jack and the Beanstalk
Name five characters from Spongebob Squarepants.
Main characters: Gary, Plankton, Karen, Mr. Krabs, Sandy, SpongeBob, Patrick, Squidward, Mrs. Puff and Pearl.
In which hand is the Statue of Liberty's torch?
The right hand.
Simplify: -7x(x - 13)
**Hint: Distribute!**
7x2+91x
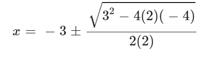
What is the quadratic formula?

The Teddy Bear was named after this President
Theodore Roosevelt
In the Avengers movies, there are 6 Infinity stones. Name 3 of the 6 infinity stones.
Bonus points if you can name all 6!
The Space Stone, the Reality Stone, the Power Stone, the Mind Stone, the Time Stone, and the Soul Stone.
Why are eggs a symbol for Easter?

B) Eggs are a symbol of rebirth
Solve for x:
-8(2x - 1) = -56
x = 4
Set up the quadratic formula for the following problem: 2x2 + 3x - 4 = 0

Who did Forbes name the youngest “self-made billionaire ever” in 2019?
Kylie Jenner
Who is the half-blood prince in Harry Potter?
Severus Snape
Maine, New Hampshire, Massachusetts, Rhode Island, Connecticut, New York, New Jersey, Delaware, Maryland, Virginia, North Carolina, South Carolina, Georgia, and Florida.
A rectangular banner is 16 feet long and 5 feet wide. What is the perimeter of the banner?
42 feet