What is the greatest common factor of 3x2y and 6xy3
3xy
Evaluate: 1601.75
7197.97
The set of the inputs of a relation is called what?
Domain.
What is the slope of a line perpendicular to a line with the equation
y= 3/2x+2
-2/3
Create a linear system to model this situation, don't solve it.
I bought a 3 pens and 2 erasers for $7. My friend bought 2 pens and 7 erasers for $15. How much does a pen cost? How much does an eraser cost?
3x + 2y = 7
2x + 7y = 15
Multiply.
(2x + 2)(x - 5)
2x2 - 8x - 10
What is the cube root of 27 000 000?
300
Shannon works for a small company that sells books online and is responsible for mailing out the books to customers. Every morning she gets in line at the local post office and estimates the length of her wait. The length of her wait depends on the number of people in line ahead of her.
w = the length of time Shannon will need to wait
p = the number of people in line ahead of Shannon
Which of the variables is independent and which of the variables is dependent?
p is the independent variable and w is the dependent variable
A line has end points (0,5) and (1,-1). What is the slope of the line?
m = -6
Solve the linear system
7x = 3y = 82
2y - x = 15
(7,11)
Factor x2 - 3x - 4
(x - 4)(x + 1)
The volume of a cube is 1728cm3. Find the length of one side of the cube.
12cm
What is the value of f if x=-4?
f(x) = -7x+35
63
Jason has $150.00 in his bank account. He decides to start adding $35.00 a week. How many weeks will it take for him to save $780.00? (hint: start by writing an equation)
18 weeks
Solve the linear system, solve for the value of x + y.
2x - 3y = -14
y = x/2 + 6
18
Expand (4c-11)2
16c2 - 88c + 121
Arrange these numbers in order of least to greatest: √36, 3√250, √89, √75, 3√75, 3√600
3√75, √36, 3√250, 3√600, √75, √89
Find the value of x when f(x)=-7
f(x)= -4x+9
x = 4
True or False: These equations represent the same line.
y = 4/7x-3
4x-7y-21 = 0
True
Solve using the process of elimination
8m - 2n = -38
2m + 7n = 13
n = 3
m = -4
Factor. 12a2b + 6ab3 - 144ab4
6ab(2a+b2-24b3)
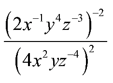
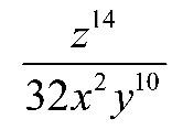
Simplify.


Is this set of order pairs a function?
(-2, 11) (-1, 17) (1, 11) (3, 41) (4, 47)
yes
Find the x and y intercepts of 2x - 7y + 8 = 0
x-int (-4,0)
y-int (0, 8/7)
How many solutions does the following system have?
2y + x = 5
0 = -3x - 6y + 7
0