My father smoked four packs of cigarettes a day since age fourteen and lived until age sixty-nine. Therefore, smoking really can’t be that bad for you. This would be considered a fallacy of :_____________
What is, the fallacy of Hasty Generalization?
This is the value found by the formula:
New value – Old value
What is absolute change?
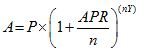
This is why you may use this formula:
What is to calculate monthly payment (or a mortgage payment)?
This is how you might respond to the prompt: Discuss whether you believe there is causality between the variables.
What is
"correlation " ≠ " causation"
?
Linear equations have this type of "change".
What is constant change (given by the slope)?
This is the probability of drawing an Ace from a standard deck of cards.
What is 4/52 or 1/13?
This is how you calculate Relative Change.
What is:
This is the formula that can help you find the balance after 20 years if Erika’s uncle gave her $24,000 on her 4th birthday, and she saves it in an account that earns 6.25% interest compounded monthly.
What is the compound interest formula?
This is the distribution where mean=median=mode.
What is the Normal Distribution or Symmetric Distribution?
This is the formula that would model the following information: You are trying to increase your strength, and your trainer indicated you can increase the weight of your bench press by 10% every week. If you start by benching 20 pounds, find an equation to represent how much you will bench for any given week after that.
What is:
Q=Q_0 (1+r)^t
?
My Physics teacher tells me that I should study daily, but it’s not like he’s Albert Einstein or anything, so I see no need to follow his advice. This would be considered a fallacy of :___________
What is, the fallacy of Personal Attack?
This is how you find a multiplier to convert grandma’s cookie recipe.
What is:
This is how you calculate monthly cash flow.
What is "monthly income – monthly expenses"?
This is how you find a standard score.
What is ?
Suppose that 100 pounds of plutonium (Pu–239) is deposited at a nuclear waste site. This is the formula needed to find how much of it will still be present in 100,000 years, if the half–life of Pu–239 is 24,000 years.
What is the half-life formula?
"new value"="initial value"xx(1/2)^(t/T_"double")
This is how you might describe the 29 people represented here:

What are "non-men" over the age of thirty?
This is the number of seconds in a week.
What are
60×24×7= 10,080
seconds?
This is what you would find if you multiply a monthly payment, by the total number of payments made throughout the loan.
What is the “total amount paid over the life of the loan”?
This is how you would describe the potential correlation depicted here:
What is moderate to strong correlation? Or What is strong negative correlation?
This is the equation that may model: a base pay of $150 per night plus $10 for every $200 in alcohol sales.
What is
S= 10A + 150
(salary is $10 for every $200 in A –alcohol sales, plus a base pay of $150)?
This is the probability of rolling a 2 OR a 5 when rolling a fair six-sided die.
What is 1/6 + 1/6 = 2/6 or 1/3?
This is how you would determine this students overall grade:
What is find the Sum of all grade points (multiply the weight by the earned grade)?
Ex:
(15% × 79) + (5% × 86) +... = 11.85 + 4.3 +...
If Erika plans to put down 20% on a house that costs $210,000, this is the amount she will actually borrow from a lender.
What is $168,000?
A set of infant weights is normally distributed with a mean of 5 and a standard deviation of 1. Use the 68-95-99.7 rule to find the percentage of infants that weigh more than 6 pounds.


What is 16%?
Right now your counter top has 1 e-coli cell. In the right environment, e-coli can double every 11 minutes. This is the number of cells that will be present after 3 hours.
What is 84, 322 cells?