a) What type of function is this?
b) What is the rate of change?
a) Exponential function
b) The rate of change is multiplying by 3.
Find the intercepts of the following equation:
5x+3y=30
Only x: ( , )
Only y: ( , )
Only x: (6, 0)
Only y: (0, 10)

Solve the inequality and graph on a number line.
f>=3
Graph should be shaded to the right and have a closed circle.
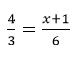
Solve for x.

x=12
After this week, how many weeks of school are there left?
3 weeks!

a) Describe the rate of change.
b) Give the y-intercept.
a) The rate of change is multiplying by 3
b) The y-intercept is 2.5
Football sells $8 tickets for ASB members and $10 for non-members. You have $160 to spend.
a) If you buy only ASB member tickets, how many could you buy? (without money left over)
b) If you buy only non-member tickets, how many could you buy? (without money left over)
c) Can you buy 9 ASB member tickets and 9 non-member tickets?
a) You can buy 20 $8 ASB member tickets.
b) You can buy 16 $10 non-member tickets.
c) No.
9x8=72, 9x10=90
72+90 > 160
162 > 160
Solve the compound inequality and graph the answers on a number line.
x<2 or x>=4
Graphs should be open at 2, closed at 4 and shaded away from each other.
Solve for x.

x=7
Name 3 math teachers at University High School.
Ms. Fu, Mrs. Mosey, Mrs. Beck, Mrs. Gilles, Mrs. Botha, Mrs. Banaban, Mrs. Bradshaw, Mrs. Kurdziel, Mrs. Hudgins, Mr. Schulman, Mrs. Van Guilder, Mrs. Hsieh, Mr. Kinney, Mrs. Chang, Mrs. Huber


Describe one similarity and one difference for the graphs.
Similarities: Functions, rate of change of 2, increasing, etc.
Differences: Different y-intercepts, linear vs. exponential, straight vs. curved line, etc.
Solve using substitution.
B=2A+3
3A+4B=1
A = -1, B = 1
Trojan Gym has a starting membership fee of $50 and charges $20 each month. University Fitness has a starting membership of $40 and charges $25 each month. When will University Fitness become more expensive than Trojan Gym?
20x+50<25x+40
50<5x+40
10<5x
2<x
After 2 months, University Fitness will become more expensive than Trojan Gym.
Mr. Einstein's motor scooter can go for 110 miles in 4 hours.
a) How far can his scooter go in 1 hour?
b) If he drove his scooter for 40 miles, how long did he ride for?
a) His scooter can go for 27.5 miles.
b) He rode his scooter for about 1.45 hours.
a) Linear or Exponential?
b) Write the function rule.
a) Exponential
b) y=4x
Solve using elimination:

(5,10)
Graph the system of inequalities above.

a) 26 is 40% of what number?
b) 8% of 28 is what number?
a) 65
b) 2.24
A scientist has one bacteria in his sample dish, and records that it doubles each second.
a) Is this linear or exponential?
b) Write the function rule.
c) If there are 256 bacteria, how many seconds passed?
a) Exponential
b) y=2x
c) 8 seconds
The fastest turtle can go at a speed of 30 inch/min. The slowest rabbit can go at a speed of 40 inch/min.
The rabbit gives the turtle a 0.5 minute head start.
How long will it be before the rabbit catches up to the turtle?
30t=40(t-0.5)
30t=40t-20
-10t=-20
t=1/2 or 0.5 minutes
a) Write a system of inequalities that matches this situation.
b) What is one possible combination that satisfies his budget and feeds enough guests?
a)
10x+3y<=180
x+y>=30
b) Answers vary.
Example: 10 pizzas, 24 burgers
A designer backpack originally cost $275. If the discount was 49%,
a) What was the amount saved?
b) What was the sale price?
c) If tax was 8%, how much tax are you paying?
d) What is the total cost of the item?
a) $134.75
b) $140.25
c) $11.22
d) $151.47