215/5 =
43
neither
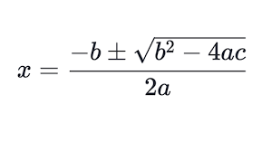
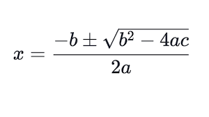
Solve the equations using the quadratic formula. Round your solutions to the nearest 10th if necessary.
1-8x=16x^2

16x^2+8x-1=0 x=-8 +/-) sqrt (8^2-4*16*-1)/2*16 ; x = 0.6; x=-0.1
Marshall expects to have $25,400 in business expenses. He has brought in $18,300 in business income so far. How much more income does he need just to cover his expenses?
$7,100
Zack goes to the movies. He spends $7 on a ticket, $5 on popcorn and a soda and $10.50 on pizza afterward. How much does he spend?
$22.50
4527/9 =
503
6/5
Multiply. Write your answer in simplest form.
sqrt (10) * sqrt (2)
2 sqrt (5)
A business rents out booths for $15 apiece. They rent out 50 booths. How much do they make?
$750
Zack spends $22.50 on a movie and pizza each week, for all 52 weeks in a year. How much does this add up to over the year?
$1,170
2-x=1/4
1 3/4 or 1.75
Use the scatter plot to fill in the missing coordinate of the ordered pair.
(16, ___)

6
Solve by factoring, graphing or the quadratic formula.
x^2 + 6x+9=16

x^2 + 6x+9=16 (x+7) (x-1) {-7,1}
A business rents out booths. There are 50 booths. They charge a fee of 5% of all goods sold. Each booth sells an average of $400 of products. How much does the business make?
$400 x .05 x 50 = $1000
A person's net worth is found by subtracting their liabilities from their assets. Billy has assets worth $35,500. He has liabilities of $28,800. What is his net worth?
35,000-28,800 = $6,700
6 1/4 + 1 5/8 + 4 1/2 =
12.375 or 50/8+13/8 + 36/8 = 99/8 = 12 3/8

About $1100 (between $1000 and $1200)
Simplify.
sqrt (18)
3 sqrt (2)
Wes is starting a business. He charges $30 per hour and expects to work 35 hours a week. How much does he expect to make per week?
30 x 35 = $1050
A person's net worth is found by subtracting their liabilities from their assets. Tabitha's assets total $4,300. Her liabilities total $10,630. What is her net worth?
4,300-10,630 = -$6,330
1 1/3 foot = ____
inches
1 1/3 x 12 = 16
Evaluate the function when x = -3, 0, and 4
g(x) = 6x
x = -18, 0, and 24
Solve the equation.
625^2 = (1/25)^(x+2)
Hint - use a negative exponent to eliminate the fraction, distribute the negative to the existing exponent.
25^2 = 625
25^2 = 25^(-x+2); 2= -(x+2); x = 4
Allissa rents a small garage she uses as her workshop. She charges $25 per hour for her work. She works 30 hours per week. Her business expenses are $350 per week, and her living expenses are $275 per week. How much does she have left over each week?
(25 x 30) - ($350 + $275) = $125
At the first of the year, Stan's assets total $2,450. His father gave him a $8,400 truck. His liabilities totaled $3,400. He took out a $4,000 loan to go to school. What is his new net worth?
2450 + 8400 - 3400 - 4000 = $3,450