Marshall has $700 in an account that earns 13% interest each year. To the nearest cent, how much interest will he earn in 1 year?
700(0.13) = $91.00
Find the y-intercept of the parabola y = x2 + 5x
(0, 0)
What do the angles in a triangle add up to?
180°
Find the tangent of angle C.

tan(C) = 15/8
How many cones would fill up a cylinder with the same radius and height?
3 cones
Hassan knows how to sing 6 vocal pieces, thanks to his choir class. Now he's about to start private lessons. His teacher says he will learn 2 new pieces each month.
Write an equation that shows the relationship between the number of months Hassan takes voice lessons, x, and the number of pieces he knows, y.
y = 2x + 6
Find the x-intercepts of the function y = (5q − 3)(q − 4)
(3/5, 0) and (4, 0)
Find the value of t in rhombus WXYZ.

Consecutive angles supplementary
t + 2t = 180°
3t = 180°
t = 60°
Write a rule to dilate a shape by a scale factor of 3 and reflect it over the y-axis.
(x, y) --> (-3x, 3y)
Todd is comparing the volumes of a cone and a square pyramid. The height of both solids is the same. The areas of the base of the cone and the base of the square pyramid are the same. Which solid has a larger volume, or are they the same?
(1/3)b*h vs. (1/3)b*h
They are equal
Because of inflation, the value of money decreases by 5% every year. How much will $940 be worth in 16 years?
940(1-0.05)16 = About $413.72
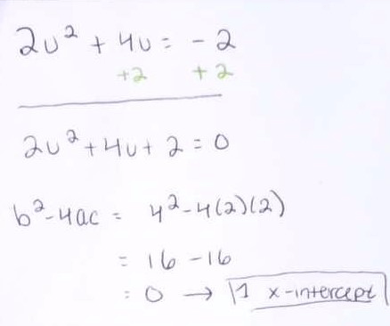
How many x-intercepts does this function have? 2u2 + 4u = -2
1 x-intercept

If FG = t + 13 and FI = 6t + 8, find the value of t in parallelogram GHIJ.

Diagonals in a parallelogram bisect each other
t + 13 = 6t + 8
5 = 5t
1 = t
Can these triangles be proven congruent? If so, using which postulate?

Not enough information to prove the triangles are congruent
Write a polynomial expression for the volume of a cube with side length 2x+3
(2x+3)3 = 8x3 + 36x2 + 54x +27
A chemist is heating water so it can dissolve a larger amount of sodium chloride. The water's temperature increases 7°C each minute from an initial temperature of 21°C. How long will it take for the water to reach 49°C?

Find the vertex of the parabola y = -2x2 + 2x
(1/2, 1/2)

Find EF in parallelogram DEFG.

opposite sides in a parallelogram congruent
2u - 8 = 7u - 68
60 = 5u
12 = u --> 7(12) - 68 = 16
EF = 16
Find G.

2=xsqrt(2)
x=2/(sqrt(2))(sqrt(2)/(sqrt2))=(2sqrt(2))/(2)=sqrt(2)=G
Shortstop Sporting Supply sells baseball and softball equipment. The volume of a baseball is 12.35 cubic inches. The volume of a softball is two and a half times the volume of a baseball. What is the radius of a softball?
12.35*2.5 = 30.875 in3
root(3)(30.875/(4/(3)pi))=1.95
1.95 in
A cup of hot water is left out to cool. The water is currently 39°C. If the heat difference decreases by 5% every minute, what will the difference be in 13 minutes?
39 - [39(1 - .05)13] = About 18.98° C
Convert the function to factored form. f(x) = 2x2 + 12x + 16
f(x) = 2(x+6x+8)
f(x) = 2(x+4)(x+2)
If CG = 6t –15 and EG = 4t + 7, find CG in parallelogram CDEF.

opposite sides congruent
6t - 15 = 4t + 7
2t = 22
t = 11
6(11)-15 = 51
Find PT.

24 - 16 = 8
24/(8)=(14+PT)/(PT)
24(PT) = 112 + 8(PT)
16(PT) = 112
PT = 7
A large spherical storage tank with a diameter of 12 meters is completely filled with gasoline. The gasoline will be transported by train in cylindrical tank cars that each have a diameter of 2.4 meters and a length of 6.1 meters.
What is the minimum number of tank cars that could be used to transport all of the gasoline from the spherical storage tank?
4/(3)pi6^3 = 904.78 meters^3
𝜋(1.2)2(6.1) = 27.60 meters3
904.78/27.60 = 32.78
33 tank cars