What is the vertex of the following absolute value function?
y=|x+3|+2
(-3, 2)
What is the degree of the following polynomial?

3
What is the axis of symmetry of this graph:

x=-1
Simplify the following radical:

5sqrt7
2+2
4
Simplify:
(3x^2)^0
0
Solve:

x = 0, -2
What is the vertex of the following quadratic equation:

(5,3)
Is the following table linear, quadratic, or exponential?

Exponential
Why was 6 afraid of 7?
Because 7 8 9.
What is the growth/decay rate of the following exponential function?
y=0.5(2^x)
Growth rate of 2
Simplify:

4x^2 + 5x + 4
What is the range of the following graph:

-oo<y<=1
Simplify the following radical expression:
(10 +- sqrt50)/15
2/3 +- sqrt2/3
If a zoodle is worth 3 bergs and a berg is worth 5 sparps, how many sparps is one zoodle worth?
15 sparps.
Simplify:
(3x^2y^-2z)^3
(27x^6z^3)/y^6
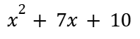
Factor:

(x+5)(x+2)
What is the axis of symmetry of the following quadratic equation:

x=1
Solve using inverse operations:
3x^2-27=0
x=+-3
👖👖👖 + 🛹🛹 = 17
👖👖👖👖👖 + 🛹 = 12
🛹 = ?
👖 = 1
🛹 = 7

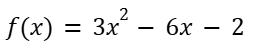
Evaluate
f(0)
f(0)=-1
Factor Completely and Solve:

x(x-5)(x+5)
x=0,5,-5
What is the vertex of the following quadratic equation:

(1,-5)
Solve using the quadratic formula:
x^2+8x-3=0
-4 +- 3sqrt2
What is my last name?
Mr. Warren