Functions
Quadratic, Polynomial & Rational Functions
Exponential & Logarithmic Functions
Periodic Functions, Identities & Equations
Triangles & Vectors
100

The definition of a function.

What is each input can only have one output?

100

Two things that affect the end behavior of a polynomial.

What is "a" value and degree?

100

The initial value (y-intercept) of the function: 

f(x)=20(1.08)^x

What is

20

100

The exact value of

sin((5pi)/3)

What is

-sqrt(3)/2

100

The height of a tower if the angle of elevation from a point on the ground 50 feet away is 42 degrees.

What is 45 feet tall

200

Domain and range of

f(x) = sqrt(2x+1)-3

What is Domain =

D=[-1/2, infty),

R=[-3, infty)?

200

The formula and vertex for a quadratic function with the following properties - zeros at (-1, 0) and (5, 0) and passing through the point (4, 10).

What is

f(x)=-2(x+1)(x-5) 

or f(x)=-2x^2+8x+10

or f(x)=-2(x-2)^2+18

vertex   (2, 18)

200

Solve for x:

12+3log(3x+1)=18

What is

x=33

200

Exact value of

cos((3pi)/2)

What is:

0

200

Side b if

A=14^o, B=35^o, a=10 cm

What is 23.7 cm

300

Using the graph shown, the average rate of

change of f(x) for the interval 

2lexle4

What is

(9.6-2.4)/(4-2)=3.6

300

Exact solutions to:

x^3-7x^2+13x-7=0

What is

x=1, 3+sqrt2, 3-sqrt2

300

Solve for x:

5e^(2x+2)=35

What is

x=(ln(7)-2)/2=-0.027045

300

A sine and cosine formula for:

What is:


2cos(x-(3pi)/4)+1

2sin(x-(pi)/4)+1

300

Area of a triangle with side lengths of 

3 ft, 7 ft, and 8 ft.

What is 10.4 sq ft

400

f(x) and g(x) for the composite function

f(g(x))=3sqrt(2x^2 -5)

What is

f(x)=3sqrt(x) and g(x)=2x^2-5

400

A possible formula for a fourth degree polynomial with a double zero at

x=2, f(-3)=0, f(5)=0, f(0)=10

What is

f(x)=-1/6(x-2)^2 (x+3)(x-5)

400

The half-life of a substance if 50 mg decays to 37 mg after 3 hours.

What is 6.9 hours?

400

Two possible values for

csc theta 


given that

cos theta =5/13

What is

13/12 and -13/12

400

Angle given that

a=12, b=10 and c=20

What is

130.54^o

500

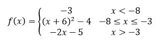
The formula for the piecewise function shown below:

What is 

500

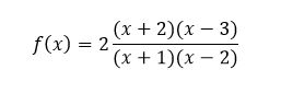
The formula for:

What is

f(x)=1/40(x+5)(x+2)^2 (x-2)(x-3)

500

The doubling time of a substance that grows at a continuous rate of 2.2% every minute.

What is 31.507 minutes?

500

sin 2theta 

given that

theta 

is in quadrant 2 and

cos theta =-3/5

What is

-24/25

500

The distance between two planes that leave from an airport together traveling on courses that have an angle of 100 degrees between them if each travels one hour at 350 mph.

What is 536 miles apart

600

The point that lies on 

3f(2x+1)+5

if the point (5, 7) lies on the graph of

f(x)

What is (2, 26)?

600

The formula for:

What is 

600

The formula for the graph shown:


What is

f(x)=24(1/4)^(x/3)

600

theta 

given that

1 + 2 cos 2theta =0

What is

theta=60^o, 120^o, 240^o, 300^o

600

The angle between 2 vectors

vecu=<-5,2> and vecv=<7,-10>

What is 146.8 degrees