This quadrant contains the point (-3,-5)
What is Quadrant III?
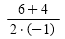
The model that represents the following expression

What is D?
-8 + (12 ÷ 2) × 3
What is 10?
Definition: the distance from zero
What is the absolute value?
Solve 33
What is 27?
this axis contains the point (0,5)
What is the y axis?
The division expression represented by the following model

What is 12 divided by 4?
|-7 + 2| – 2
What is 3?
This number has the same absolute value as 5?
What is -5?
This number written in exponential form: 10x10x10x10
What is 104?
This is the distance (in units) between Point A which is located at (2,-1) and point B which is located at (2, 3)
What is 4 units?
James went scuba diving with his friend, Marsha. James dove to a depth of 15 feet below sea level. If Marsha dove 5 feet lower than James, this integer would represent her depth
What is -20?

What is -5?
the number below that does not match the others
A. |32| C. |-32|
B. -|32| D. |16+16|
What is -|32|?
This number has a base of 2, an unknown power, and is equivalent to 16
What is 24?
Point N is located at (5, -2), this is the new coordinate if the point is translated 4 points to the left
What is (1, -2)?
Mrs. Capps returns several shirts to a store. The receipt shows that the amount placed back on her
credit card is − $51.00. Each shirt is − $3.00. This is the number of shirts Mrs. Capps returned
What is 17?
33 ÷ 9 × 1
What is 3?
This integer is less than -45
A 46 C -46
B -44 D 0
What is -46?
The largest number
23 32 41
What is 32?
The perimeter of the rectangle made by connecting the four points (in units)
What is 12 units?
Melissa borrowed the same amount of money from 7 different people. If she borrowed $63 in total, this integer represents the money she owes each person
What is -9?

What is 2?
This integer represents a bank withdrawal of $42.00
What is -42?
The following is a perfect square between the numbers 99 and 120
What is 100?