Solve via substitution.
2x + 3y = 4
y + 3x = 6
(2,0)
Write the next three terms of the sequence.
60, 30, 0, -30, ...
-60, -90, -120

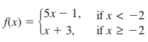
Find f(5).
8
Is it possible for a system to have no solution? How is this possible?
If they're parallel.
Find the 10th term in the sequence.
1/2, 1, 3/2, 2, ...
5

Graph the function.
...
Solve via elimination.
3x + 2y = -2
-6x – 5y = 2
(-2,2)
Find the 50th term in the sequence.
100, 110, 120, 130, ...
590

Graph this.

You spend $20 total on tubes of paint and disposable brushes for an art project. Tubes of paint cost $4.00 each and paintbrushes cost $0.50 each. You purchase twice as many brushes as tubes of paint. How many brushes and tubes of paint do you purchase?
8 brushes
4 tubes of paint
Which term in the sequence is equal to 80?
-15, -10, -5, 0, ...
80 = -15 + (n – 1)(5)
95 = 5n – 5
100 = 5n
20 = n

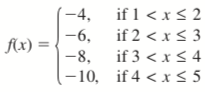
Create a piecewise function.
