Definition of a function
What is one input for each output?
The slope between the points: (4, 1) and (-2,7)
The slopes of perpendicular lines
What is opposite reciprocals?
The two pieces of information you need to write an arithmetic sequence.
What is first term and difference
How do you represent the inverse of f(x)
f^-1(x)
Functions can be represented using...
What are equations, tables, and graphs?
Write the function f with the given values: f(0)=2 and f(3)= -1
Determine if the following lines are parallel:
2x-3y=9
4x-5y=15
No
What is the difference in the arithmetic sequence:
5, 2, -1, -4,...
-3
What is the first step to finding the inverse function of f(x)
Replace f(x) with y
All functions are linear. True or False
False.
What is f(x) = 800x+1000
Find the equation of the line parallel to the line
2x-5y=-20 and passes through the point (7, 6)
y-6=2/5(x-7)
Write the formula for the arithmetic sequence:
-1, -7, -13, -19, ...
a_n=-1-4(n-1)
Are these inverse functions?

The definition of a linear function.
What is a constant rate of change?
Write the function in slope-intercept form using the given line.

f(x)
f(x)=-4/3x-2
Sometimes, Always, Never:
Two lines with the same x-intercept are perpendicular.
Sometimes
The first term of an arithmetic sequence is 3. The common difference of the sequence is 10 less than twice the first term. Write the next three terms of the sequence.
-1, -5, -9
Are these inverse functions:

No
The value a rule is applied to
What is an input?
You are renting a paddle board. The company charges a $50 fee and $20 per half day.
a. Write an equation that represents the total cost (in dollars) of renting the paddle board as a function of the number of half-days.
b. How many half days can I rent the paddle board if I have $300?
a. f(x)=20x+50
b. 12 half days
Write the equation of the line that passes through the point and is a) parallel to the line and b) perpendicular to the line.

a) y=-3x+14
b)
y=1/3x+2/3
What is the common difference:
7pi,5pi,3pi,pi
d=-2pi
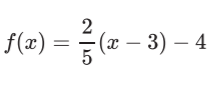
Find the inverse function:
f(x)=2/5(x-3)-4

f^-1(x)=5/2x+13