

This is the solution to this indefinite integral: S(2 sin θ + 3 cos θ) dθ.
What is −2 cos θ + 3 sin θ + C?
The measurement of time known as a "jiffy" is equivalent to this many seconds.
What is 1/100th of a second?
10! seconds is this number of weeks.
What is 6 weeks?
This symbol represented the value 0 in ancient India back in the 3rd and 4th centuries.
What is a dot?

One brother says of his younger brother: “Two years ago, I was three times as old as my brother was. In three years time, I will be twice as old as my brother.” This is how old the brothers are now.
What is 17 and 7?
This is the solution to the definite integral with bounds 2 to 3:
S (8x3+3x2+6x)dx.
What is 164?
479 in decimal translates to this value in hexadecimal.
What is 1DF?
This is the minimum number of geometric cuts to slice a cake into 8 pieces.
These numbers were first described in Indian mathematics as early as 200 BC on enumerating possible patterns of Sanskrit poetry formed from syllables of two lengths.They are named after the Italian mathematician Leonardo of Pisa, who introduced the sequence to Western European mathematics in his 1202 book. These numbers often appear in biological settings, such as branching in trees, the arrangement of leaves on a stem, and the fruit sprouts of a pineapple.
What is the Fibonacci sequence?
A baseball coach is going to pick 8 players from a baseball squad of 16 to take turn batting against the pitcher. This is the number of possible batting orders.
What is 518,918,400?
This is the solution to this indefinite integral:
S (e x+3 + e x−3 ) dx.
What is ex+3 + ex-3 + C?
This is the equation to convert Fahrenheit degrees to Celsius.
What is F=(9/5)C + 32?
The word "mathematics" only appears in one Shakespearean play. This play was adapted into the 1999 movie starring Heath Ledger and Julia Stiles.
What is "The Taming of the Shrew"?
These two 17th century European scientists are credited with developing modern-day Calculus. (points for 1, double for both)
Who is Isaac Newton and Gottfried Wilhelm?
This is the quotient you get by dividing 47908 by 2065 using long division (no calculators!).
What is 23.2?
This is the solution to the definite integral with lower bound 1 and upper bound 5:
S(x4 − 6x3 + e x√ x )/√ x dx
What is e5 -e + (22250√5-122)/63?
This is the height in feet of Mizzou's six iconic columns, which are located on the Francis Quadrangle in front of Jesse Hall.
What is 43 feet?
This pop-culture icon once said, "“If you stop at general math, then you will only make general money.”
Who is Snoop Dog?
This year was when the first mechanical calculator was commercially produced successfully. Named the arithmometer and invented by Charles Xavier Thomas De Colmar, the arithmometer could complete all four basic operations — addition, subtraction, multiplication and division.
What is 1820?
(closest answer gets points)
Two trains are driving toward one another. The first train leaves Town A at 5am traveling at 60 miles per hour. The second train leaves Town B at 7am traveling at 70 miles per hour. the distance between Town A and Town B is 455 miles. The collision will occur at this EXACT time (HH:mm:ss).
What is 9:34:37?
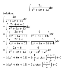
This is the solution of the indefinite integral:
S 2x/(x2+6x+13)dx.
What is
1 yottameter is equivalent to this many meters.
What is 1 * 1024 meters?
The shape pictured goes by this name and is also a type of lens.
What is Vesica Piscis?
This English engineer is said to be the founder of graphical statistics. Born in 1759, he invented the line graph, bar chart, pie chart and also pioneered the use of timelines.
Who is William Playfair?