Synonym for opposite
What is inverse?
X + 6 = 14
What is 8?
In the equation y= 2x-5, what is the slope?
What is 2 or 2/1 ?
Write a linear equation based on the following conditions:
A slope of 2 and a y intercept of -5.
y= 2x-5
Parallel lines result in this many solutions.
What is NONE/ No Solution?
There are four of these within a coordinate plane
What is a quadrant?
-3x + 6= 36
What is -10?
Find the slope of the table below.
What is
-3/1
Write a linear equation based on the following conditions:
A slope of -8 and a y intercept that crosses through the origin
y=-8x
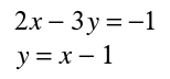
The solution point to this set of simultaneous linear equations is...
What is (-1, -1)?
This is the place where the y-axis and x-axis meet.
What is the origin?
7x - x + 2 = 86
What is 14?
Find the slope of the graph below
What is
-3/4
Create an equation of a line based on the table below. Reduce if possible.
What is y=4x+3
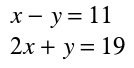
The solution to this system of equations is:

What is (4, 3)?
y=mx + b is called
What is SLOPE INTERCEPT FORM or AN EQUATION OF A LINE?
5 + 14a = 9a -5
What is -2?
y=-x
What is
-1/1
Write a linear equation from the graph below. Reduce to lowest terms.
y=2x-4
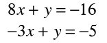
Identify the solution.

What is (10, -1)
When 2 graphed lines cross that is called a
What is solution?
5x + 2(x+10) = 83
What is 9?
Find the slope from the two ordered pairs
(5,-3) (-9, 8)
What is
-11/14
Write a linear equation from the graph below
y=3
Identify the solution:

What is (-1, -8)