This is the only type of transformation that can change a figures size.
What is a dilation (with scale factor other than 1)?
This is the expanded form of the expression 2^5
What is
2*2*2*2*2
This is the bigger of the following two numbers
3.14*10^3
3.14*10^-1
What is
3.14*10^3
Solve for x
3x=9
What is
x=3
This is the solution to the system of equations below.

What is
(3,-4)

This is the transformation of DeltaCDE
that results in DeltaC'D'E'
What is translation left 4, down 1?
This is the form of the following equation with one exponent (simplify).
10^3*10^5
What is
10^8
Write the following number in scientific notation 
What is 
Solve for x
4x+6=30
What is
x=6
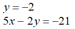
This is the solution to the system of equations below

What is
(2,3)

This is the transformation of DeltaUVW to that results in DeltaU'V'W'
What is a reflection over the y-axis?
This is the form of the following equation with one exponent (simplify).
4^3*4^6
What is
4^9
Write the following number in scientific notation 
What is
4.46*10^-5
Solve for x
-11 + n/16 = -12
What is
x=-16
This is the NUMBER of solutions to the system of equations below.

What are no solutions!

This is the transformation for figure FGHI that results in F'G'H'I'.
This is the form of the following equation with one exponent (simplify).
10^5/10^3
What is
10^2

This is the simplified form of the the equation above (multiply).
What is 
This is the number of solutions to the equation below
4x+3=4x
What is one solution?
This is the value that satisfies the system below. Hint: use substitution

What is (-5,-2)?

This is the SCALE FACTOR of the dilation in the image above.
This is the form of the following equation with one exponent (simplify).
(10^7*10^4)/10^3
What is
10^8

What is
3*10^8 meters
Solve for x
-27-6x=-3(1+6x)
What is
x=2
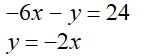
This is the value that satisfies the system below. Hint: use substitution

What is
(-6,12)