What's the top number of a fraction called?
the numerator
What is the formula for the area of a square or rectangle?
Length times width or base times height
If a = 2, b = 5 , and n = 10, then evaluate:
3b + 16a - 9n
-43
What do you call an angle more than 90 degrees and less than 180 degrees?
Obtuse
The scale of a map is 1 inch = 50 miles. If the distance between two cities is 5 ½ inches, what is the actual mileage?
275 miles
What type of number has no factors other than 1 and itself?
Prime Number
What is the formula for the area of a triangle?
A = ½ (b × h)
Write the algebraic expression:
the sum of 4 and 6 times a number z
4 + 6z
What is another name for the perimeter of a circle?
Circumference
Mr. Rovirosa enrolled in the U Drive It driving school. He drove 2,890 miles the first week of June. He drove 3,223 miles the second week and 4,998 miles the third week. His goal is to drive 12,000 miles in June. How many more miles does he have to drive to reach his goal in June?
889 miles
What may be mixed, complex or vulgar?
Fractions
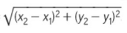
On the coordinate plane, what is the distance formula?

Solve the proportion:
(a − 3)/ 8 = 3/4
a=9
When is Pi Day celebrated?
March 14
For plumbing repairs in the home, Mr. Fix-it charges $35 an hour plus a service-call charge. After working 3 hours in Mrs. Cabrera’s house, he charged her $130. How much does Mr. Fix-it charge for a service call?
$25
The sum of two numbers is 16 and their product is 55. What are the two numbers?
11 & 5
What is the Pythagorean Theorem?
a2 + b2 = c2
Factor the expression: x2 + 3x – 10
(x + 5)(x – 2)
If the base of an isosceles triangle is 20 and the congruent sides measure 15, then what is the perimeter of the triangle?
50
Tito needs four pieces of wire each 218 inches long. Wire at the hardware store is sold only by the foot. How many feet of wire does Bob need?
73 feet
There are 84 legs in a dog show ring that has an equal number of people and dogs. How many dogs are there?
14
How many seconds are in one day?
86,400 seconds
Solve the system using elimination
4y + 3x = 22
3x − 4y =14
x=6 & y=1
A ladder is leaning on a wall. The wall is 8ft high and the ladder is 6 ft from the wall. What is the length of the ladder?
10 ft
Albert can spend at most $48 at the fair. Game tickets cost $1 each, and ride tickets cost $3 each. He wants to buy at least 4 game tickets and more than 3 ride tickets. Which system of linear inequalities represents the situation?
B at most 48, at least 4, more than 3