This document was written before the Constitution, and functioned as the first draft for the United States Government.
What is the Articles of Confederation?
This planet is the sixth planet from the sun.
What is Saturn?
Name this type of triangle.
What is an acute triangle?
This person wrote Romeo and Juliet in the 1590s.
Who is William Shakespeare?
This is the mascot for Mancelona Public Schools.
What is the Ironmen?
This president was assassinated in 1963.
Who is John F. Kennedy?
This diagram calculates the likelihood of genotypes and phenotypes in living things.
What is a Punnett Square?
When you multiply 8 and 7, you get this number.
What is 56?
This type of word describes a noun or a pronoun.
What is an adjective?
This person teaches P.E. as well as football here at MHS.
Who is Mr. Borst?
What is the Atlantic Ocean?
The letters Ag represent this transition metal on the Periodic Table of Elements.
What is silver?
What is 16?
This character is the protagonist in the novel the Outsiders.
Who is Ponyboy Curtis?
Draw an accurate diagram of the school building.
Most accurate drawing of the school receives the points.
The modern version of this event was held in Athens, Greece, for the first time in 1896.
What is the Summer Olympics?
Explain the Water Cycle on Earth using the following words: condense, precipitate, and evaporate.
Water evaporates into vapor, condenses to form clouds, and precipitates as rain.
This formula is used to solve for the surface area of what kind of shape?
2lh+2wh+2wl
What is a rectangle or rectangular solid or 3D rectangle?
This author wrote satire about the United States in 1880s; some of his works include the Adventures of Huckleberry Finn and the Tragedy of Pudd'nhead Wilson.
(Double points for his real name, but his pseudonym is acceptable.)
Who is Mark Twain or Who is Samuel Clemens?
Mancelona High School was built in this year.
What is 1999?
Name three of the five countries that were members of the Allies during World War II.
What are the United States, Great Britain, France, Russia, and China?
What is an acid?
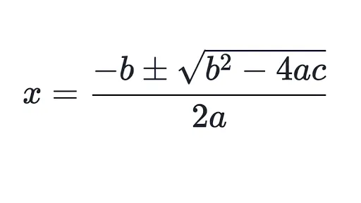
Name this formula.

What is the Quadratic Formula?
This controversial comma is used before "and" during a list in a sentence.
Ex: I see tubas, flutes, clarinets, and trumpets on the football field.
What is the Oxford Comma?
Finish the lyrics:
"Brave men of Mancelona, ____ ____ ____ _____."
What is "strong men and true."