Find the solution of the systems of equations using the substitution method
{(-7x,-5y,=36),(x,=2y,+3):}
what is
(-3,-3)
Solve by factoring
p2 -2p - 10 = 5
x = 5, -3
Fill in the blank for this exponential function.
x: -2, -1, 0, 1, 2
y: 21, 14.7, 10.29, ___, 5.0421
7.203
Write the log form to exponential form.
log6 36 = 2
62=36
What is the condensed versions of log3(x)-log3(2)?
What is log3(x/2)?
Find the solution of the systems of equations using the elimination method
{(-2x,+y,=,0),(10x,+7y,=,48):}
what is
(2,4)
Solve by factoring
7r2 + 84 = -49r
x = -4, -3
What is the decay factor (aka b in y=abx) in an exponential function that is decreasing 10% each year?
.9 or (1-.10)
log2(x)=4 What is X equal to?
What is x=16?
3/2log(x4)+2/3 log(y6) What is the condensed form?
What is log(x6y4)?
Determine if the following system of equations has no solutions, infinitely many solutions or exactly one solution.
{(5x,+3y,=-5),(-5x,-3y,=5):}
what is
oo
Infinitely Many Solutions
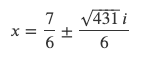
Solve using the quadratic formula:
3v2 - 7v = -40


y = 8 (1/2)x
Write the exponential form to log form.
9-2=1/81
log91/81=-2
log(xy/zw) What is the expanded form?
What is log(x) + log(y)- log(z) - log(w)
Find the solution of the systems of equations using the elimination method
{(-x,-8y,=,49),(-x,-2y,=,7):}
what is
(7,-7)
Solve the equation with completing the square
x2 - 8x - 20 = 0
x = -2, 10
Janoah's antique car is worth $12,000. It appreciates in value by 11% each year. Write the exponential function for this scenario.
y = 12000 (1 + .11)x or y = 1200*1.11x
solve.
log343 7=
1/3
What is the expanded version of log2(7x3y)1/2?
What is 1/2(log2[7]+3log2[x]+log2[y])
Solve the following system of equations graphically on the set of axes below: GRAPH ON THE BOARD then state the solution
{(y,=2x,-5),(x,+2y,=10):}
what is exactly one solution
(4,3)
Solve the equation with completing the square
x2 − 8 = -7x
x = 1, -8
A $12000 car depreciates in value by 11% each year. How much will the car be worth in 5 years?
$6,700.87
solve.
log6 1/216
-3
5log(x)-6log(y)- 7log(x) What is the condensed form?
What is log(1/y6x2)?