If something is speeding up, slowing down, or changing direction it is ___________________.
Accelerating
Rafaela skips 25 m South, then runs 25 m North. What is her displacement?
0m
How is speed calculated?
Distance/Time
Which equation can be used to solve for acceleration?
What is determined by calculating the slope of the position vs time graph?
rate of speed or velocity
What is the acceleration shown in segment B of the V-T graph shown below?
![]()
0m/s/s
0m/s2
zero
If a car is speeding up in a north direction, what is the direction of their velocity and their acceleration?
Velocity - North
Acceleration - North
A person walks 50 meters directly north, stops, and then travels 32 meters directly south. What is their displacement?
Your answer should include both magnitude and direction.
18 meters North.
Jim Bob is a truck driver who traveled at a speed of 65 mph for 9 hours straight to make a delivery.
How far did Jim Bob travel to make the delivery?
Distance = 585 miles
What kind of acceleration occurs when an object speeds up in a positive direction?
positive
Draw a position-time graph that shows constant positive velocity.

Which segment(s) of the V-T graph below shows constant speed?
Segment B
What two things must be included when describing the displacement of an object?
Magnitude and Direction
If a person walks in a complete square from A to B to C to D, and back to A, what is their total displacement?

0 meters
Kenneth ran a marathon (26.2 miles) in 5.5 hours. What was Kenneth’s average speed?
4.8 mph
Which refers to the rate of change in velocity?
acceleration

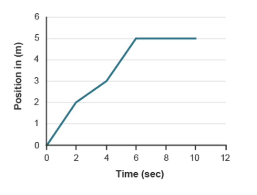
How long does the object stay at rest?
4 seconds (6sec-10sec)
Examine the graph. Is the object speeding up, slowing down, or at constant speed?

speeding up
A toy car is placed at 0 on a number line. It moves 9 cm to the left, then 4 cm to the right, and then 6 cm to the left. What is the total distance the toy car traveled?
19 cm
Jerry walked from home to school, from the school to the park, and then from the park back to his home. What is his total distance?

10 km
Susan traveled 180 miles at an average speed of 60mph.
How long was Susan traveling?
Time = 3 hours
A car is traveling in a race. The car went from the initial velocity of 35 m/s to the final velocity of 65 m/s in 5 seconds. What is the acceleration?
6 m/s2
Which segments show an object moving at a constant speed?

B and D
Which segment(s) of the graph below represent an object that is speeding up?
Segment A and Segment D
A ____________ quantity is a quantity that includes both magnitude and direction.
Vector
What is the total displacement of a person who walks 2km North, 10km West, 5km East, 3km South, 6km East, 4km North, and 3km South?
1km East
What is the difference between speed and velocity?
Speed is only the magnitude
Velocity is the magnitude + direction
If the change in velocity increases, what happens to the acceleration during the same time period?
Acceleration Increases
Describe 3 separate motions observed in the P-T graph below.

1. Slowing down (negative direction)
2. at rest (zero velocity)
3. constant velocity (negative direction)
What is the acceleration of the object represented in the graph below during the first two seconds of motion? ![]()
15m/s2 or 15m/s/s