What is the scientific term for a group of the same type of organism living in the same area?
population
What is the adaptive trait in this environment?

7
True or false, most mutations result in death.
False
What is the only number with the same number of letters in its name?
Four
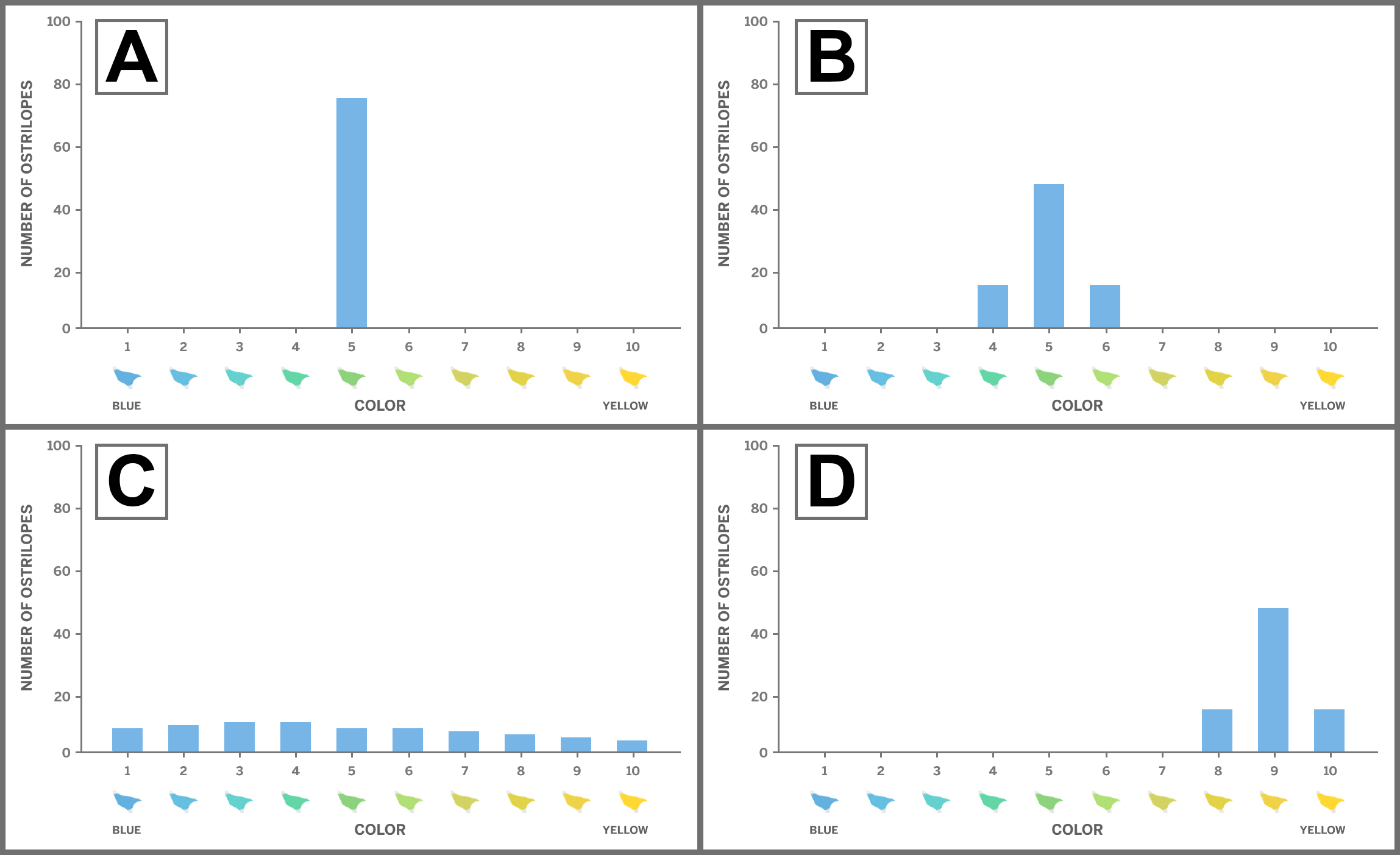
Which histogram has the highest variation?

C
If camouflage is an adaptive trait, how did the environment change?

Became more brown.
Mutations ________ genetic variation in a population.
increase
What does the "A" stand for in DNA?
Acid
Over many generations, how will the distribution of traits change in the mice?

More black fur mice.
Snails with black shells can hide better from predators. If the environment changes to have more predators, which population or populations will likely survive?

A & B
Genes are instructions for making...
protein molescules.
What is the only bird that can fly backwards?
Which histograms, if any, have the same distribution of traits?

None of them.
What did GFP stand for in our "Glowing Jellies" article?
Green Fluorescent Protein
We read about eelpout fish in chapter 3. Where do they live?
Arctic/Antarctic waters
What three states border California? You must name all three.
Nevada, Arizona, Oregon