When (-3, 60o) is converted to rectangular coordinates, it would lie in this Quadrant.
What is Quadrant III?
The graph of this polar equation has _____ petals.

What is 5?
int cos x dx
What is sin x + C
Does n=1Sum(infinity) 2^n/n! converge or diverge?
Converges
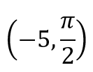
Convert into rectangular coordinates.

What is (0, -5)?
When converted into rectangular form, the center of the circle r = 10 is ______.
What is (0, 0)?
tan x + C
Does n=1Sum(infinity) (1/1+n)^n converge or diverge?
Converges
Convert into rectangular coordinates.

What is (-7, 0)?
When converted to rectangular form, the length of the radius of this circle is ______________.

What is

int (csc x cot x dx)
What is -csc x + C
sec^2(x)-1=
tan^2(x)
Which of these is a possible polar coordinate that matches the rectangular coordinate (2, 6)?

What is 
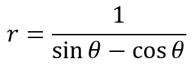
Convert into polar form: y = x + 1
What is

int arctan x dx
What is x arctan x-1/2ln|1+x^2|+C
If the dot product of two vectors = 0, then they are
orthogonal
The distance between these polar coordinates:

What is 4.1?
Convert to rectangular form. The slope of the line is ______.

What is -2?
int sin^2 (theta) dtheta
what is x/2-(1/4sin(2theta)+C)
The Macluarin Series for f(x)=e^x about x=0
What is n->sum(infinity) x^n/n!