Momentum
Kinetic & Potential Energy
Motion/Force
Work/Power
Formulas
100

What two quantities does momentum depend on?

 What is Mass and velocity

100

As a ball falls freely (without friction) toward the ground, its total mechanical energy

Remains the same

100

To calculate average speed you must

divide the total distance by the total time

100

What is the unit of work

 Joule

100

what is the formula for speed?

Distance traveled/ Time

200

What relationship exists between Velocity and Momentum

What is a direct relationship

200

Which law states that energy can not be made or destroyed

What is the law of Conservation of Energy?

200

What would a constant speed look like on a distance v time graph?

 a vertical line

200

What is the formula for work

 force*distance

200

what is the formula for acceleration

(vf-vi)/t 

300

Define Momentum

What is the tendency of a moving object to keep moving

300

As a pendulum moves from the bottom of its swing to the top of its swing, the

Potential Energy of the pendulum increases

300

True or False: A basketball bounced straight up and down has vertical but no horizontal component of motion

What is True

300

What is power

The rate at which work is done

300

what is the formula for velocity

displacement/time

400

If a bug and a car collide, which one experiences the greater force

What is they both experience the same amount of force?

400

what is the formula for gravitational potential energy

What is mass*gravity*height?

400

An object has a negative acceleration, this means it is

slowing down

400

You do 2000 J of work in 5 seconds. Your work is ...

What is 400 watts?

400

What is the formula for momentum

mass*velocity

500

Explain how an airbag works to keep people safe during an accident

an airbag works by increasing the time it takes for your head to hit the steering wheel, causing there to be a decrease on the force

500

What is the formula to find kinetic energy

What is 1/2mv²?

500

What is Displacement?

Displacement is a vector quantity that is the object's overall change in position.

500

What is the formula for power 

 Work/Time

500

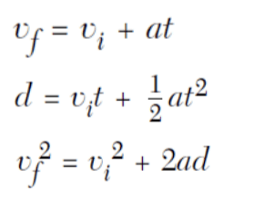
What are the 1D constant acceleration Formulas